Крупнейшая бесплатная информационно-справочная система онлайн доступа к полному собранию технических нормативно-правовых актов РФ. Огромная база технических нормативов (более 150 тысяч документов) и полное собрание национальных стандартов, аутентичное официальной базе Госстандарта. GOSTRF.com - это более 1 Терабайта бесплатной технической информации для всех пользователей интернета. Все электронные копии представленных здесь документов могут распространяться без каких-либо ограничений. Поощряется распространение информации с этого сайта на любых других ресурсах. Каждый человек имеет право на неограниченный доступ к этим документам! Каждый человек имеет право на знание требований, изложенных в данных нормативно-правовых актах!

  


 

ГОСТ Р 54996-2012

Цифровое телевидение высокой четкости. Цифровые интерфейсы для сигналов цифрового потока со сжатием. Основные параметры

Обозначение:ГОСТ Р 54996-2012
Текущий статус документа: действующий
Название документа рус.:Цифровое телевидение высокой четкости. Цифровые интерфейсы для сигналов цифрового потока со сжатием. Основные параметры
Название документа англ.:Digital high-definition television. Digital interfaces for MPEG TS transport streams. Basic parameters
Дата актуализации текста:01.12.2013
Дата издания:01.07.2013
Дата введения:01.04.2013
Дата последнего изменения:11.09.2013
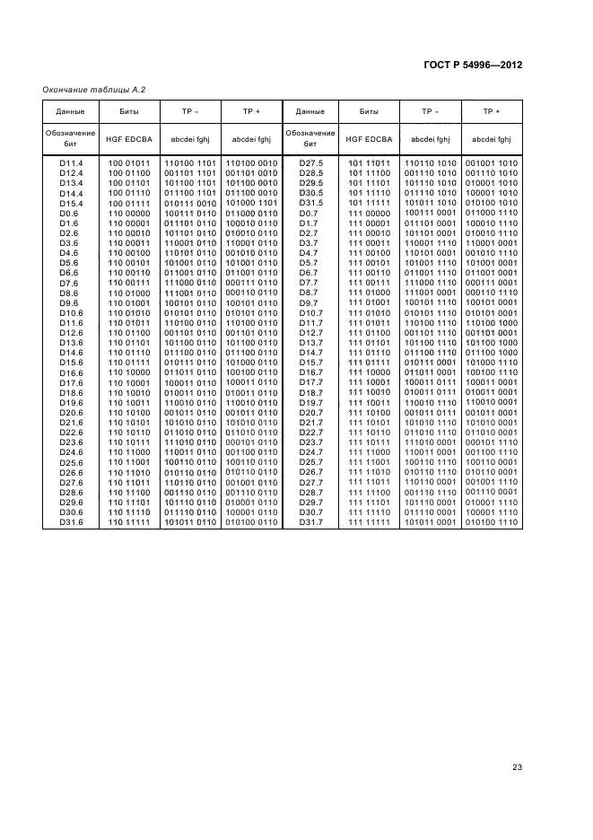
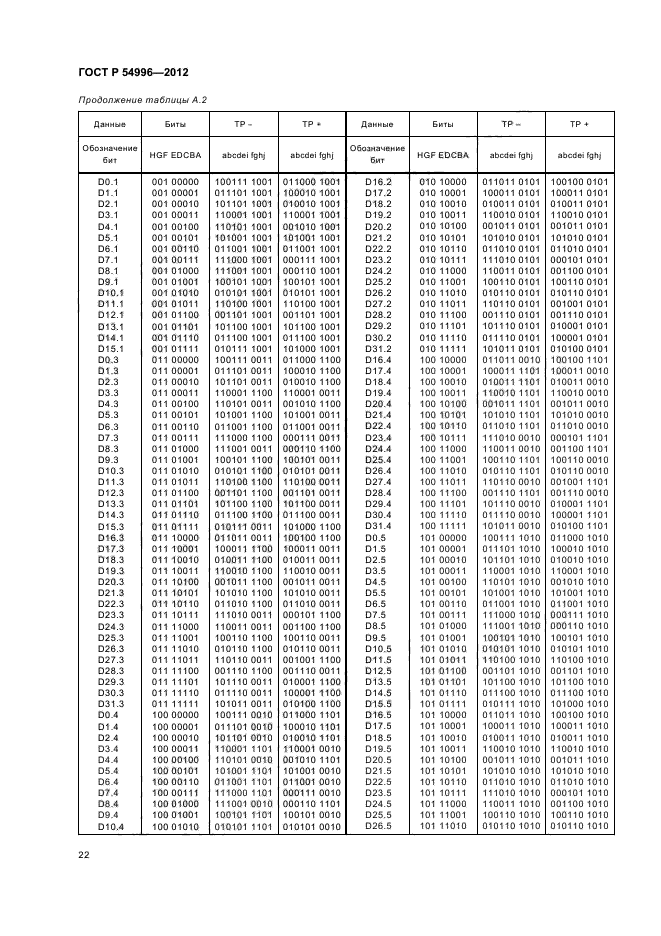
Область применения:Настоящий стандарт распространяется на систему цифрового телевидения высокой и повышенной четкости и определяет основные параметры и технические характеристики синхронных и асинхронных цифровых интерфейсов для сигналов цифрового потока со сжатием телевидения высокой и повышенной четкости
ГОСТ Р 54996-2012ГОСТ Р 54996-2012ГОСТ Р 54996-2012ГОСТ Р 54996-2012ГОСТ Р 54996-2012ГОСТ Р 54996-2012ГОСТ Р 54996-2012ГОСТ Р 54996-2012ГОСТ Р 54996-2012ГОСТ Р 54996-2012ГОСТ Р 54996-2012ГОСТ Р 54996-2012ГОСТ Р 54996-2012ГОСТ Р 54996-2012ГОСТ Р 54996-2012ГОСТ Р 54996-2012ГОСТ Р 54996-2012ГОСТ Р 54996-2012ГОСТ Р 54996-2012ГОСТ Р 54996-2012ГОСТ Р 54996-2012ГОСТ Р 54996-2012ГОСТ Р 54996-2012ГОСТ Р 54996-2012ГОСТ Р 54996-2012ГОСТ Р 54996-2012ГОСТ Р 54996-2012ГОСТ Р 54996-2012ГОСТ Р 54996-2012ГОСТ Р 54996-2012ГОСТ Р 54996-2012ГОСТ Р 54996-2012
 




ГОСТЫ, СТРОИТЕЛЬНЫЕ и ТЕХНИЧЕСКИЕ НОРМАТИВЫ.
Некоммерческая онлайн система, содержащая все Российские Госты, национальные Стандарты и нормативы.
В Системе содержится более 150000 файлов нормативно-технической документации, действующей на территории РФ.
Система предназначена для широкого круга инженерно-технических специалистов.

Рейтинг@Mail.ru Яндекс цитирования

Copyright © www.gostrf.com, 2008 - 2026