Крупнейшая бесплатная информационно-справочная система онлайн доступа к полному собранию технических нормативно-правовых актов РФ. Огромная база технических нормативов (более 150 тысяч документов) и полное собрание национальных стандартов, аутентичное официальной базе Госстандарта. GOSTRF.com - это более 1 Терабайта бесплатной технической информации для всех пользователей интернета. Все электронные копии представленных здесь документов могут распространяться без каких-либо ограничений. Поощряется распространение информации с этого сайта на любых других ресурсах. Каждый человек имеет право на неограниченный доступ к этим документам! Каждый человек имеет право на знание требований, изложенных в данных нормативно-правовых актах!

  


 

ГОСТ ISO 11140-3-2011

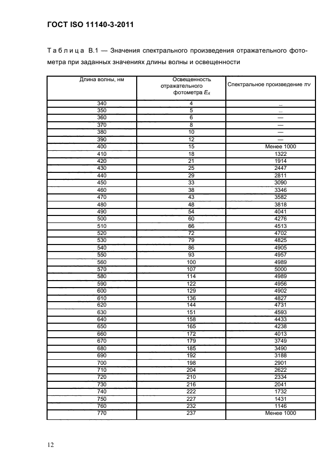
Стерилизация медицинской продукции. Химические индикаторы. Часть 3. Тест-листы к индикаторам 2-го класса для испытаний на проникание пара

Обозначение:ГОСТ ISO 11140-3-2011
Текущий статус документа: действующий
Название документа рус.:Стерилизация медицинской продукции. Химические индикаторы. Часть 3. Тест-листы к индикаторам 2-го класса для испытаний на проникание пара
Название документа англ.:Sterilization of care products. Chemical indicators. Part 3. Class 2 indicators for steam penetration test sheets
Дата актуализации текста:01.12.2013
Дата издания:02.08.2013
Дата введения:01.01.2013
Дата последнего изменения:11.09.2013
Область применения:Настоящий стандарт устанавливает технические требования к химическим индикаторам, предназначенным для использования в испытаниях на проникание водяного пара в паровых стерилизаторах для упакованной медицинской продукции (инструментов, пористых материалов и т. д.). Индикатор для этой цели - индикатор 2-го класса по ISO 11140-1.
Индикаторы, соответствующие требованиям настоящего стандарта, предназначены для использования в качестве составной части стандартного тест-пакета по ЕN 285.
Настоящий стандарт не устанавливает технических требований к стандартному тест-пакету, но устанавливает технические требования к индикаторам
ГОСТ ISO 11140-3-2011ГОСТ ISO 11140-3-2011ГОСТ ISO 11140-3-2011ГОСТ ISO 11140-3-2011ГОСТ ISO 11140-3-2011ГОСТ ISO 11140-3-2011ГОСТ ISO 11140-3-2011ГОСТ ISO 11140-3-2011ГОСТ ISO 11140-3-2011ГОСТ ISO 11140-3-2011ГОСТ ISO 11140-3-2011ГОСТ ISO 11140-3-2011ГОСТ ISO 11140-3-2011ГОСТ ISO 11140-3-2011ГОСТ ISO 11140-3-2011ГОСТ ISO 11140-3-2011ГОСТ ISO 11140-3-2011ГОСТ ISO 11140-3-2011ГОСТ ISO 11140-3-2011ГОСТ ISO 11140-3-2011ГОСТ ISO 11140-3-2011ГОСТ ISO 11140-3-2011ГОСТ ISO 11140-3-2011ГОСТ ISO 11140-3-2011ГОСТ ISO 11140-3-2011ГОСТ ISO 11140-3-2011ГОСТ ISO 11140-3-2011ГОСТ ISO 11140-3-2011ГОСТ ISO 11140-3-2011ГОСТ ISO 11140-3-2011ГОСТ ISO 11140-3-2011ГОСТ ISO 11140-3-2011
 




ГОСТЫ, СТРОИТЕЛЬНЫЕ и ТЕХНИЧЕСКИЕ НОРМАТИВЫ.
Некоммерческая онлайн система, содержащая все Российские Госты, национальные Стандарты и нормативы.
В Системе содержится более 150000 файлов нормативно-технической документации, действующей на территории РФ.
Система предназначена для широкого круга инженерно-технических специалистов.

Рейтинг@Mail.ru Яндекс цитирования

Copyright © www.gostrf.com, 2008 - 2026