Крупнейшая бесплатная информационно-справочная система онлайн доступа к полному собранию технических нормативно-правовых актов РФ. Огромная база технических нормативов (более 150 тысяч документов) и полное собрание национальных стандартов, аутентичное официальной базе Госстандарта. GOSTRF.com - это более 1 Терабайта бесплатной технической информации для всех пользователей интернета. Все электронные копии представленных здесь документов могут распространяться без каких-либо ограничений. Поощряется распространение информации с этого сайта на любых других ресурсах. Каждый человек имеет право на неограниченный доступ к этим документам! Каждый человек имеет право на знание требований, изложенных в данных нормативно-правовых актах!

  


 

ГОСТ 31632-2012

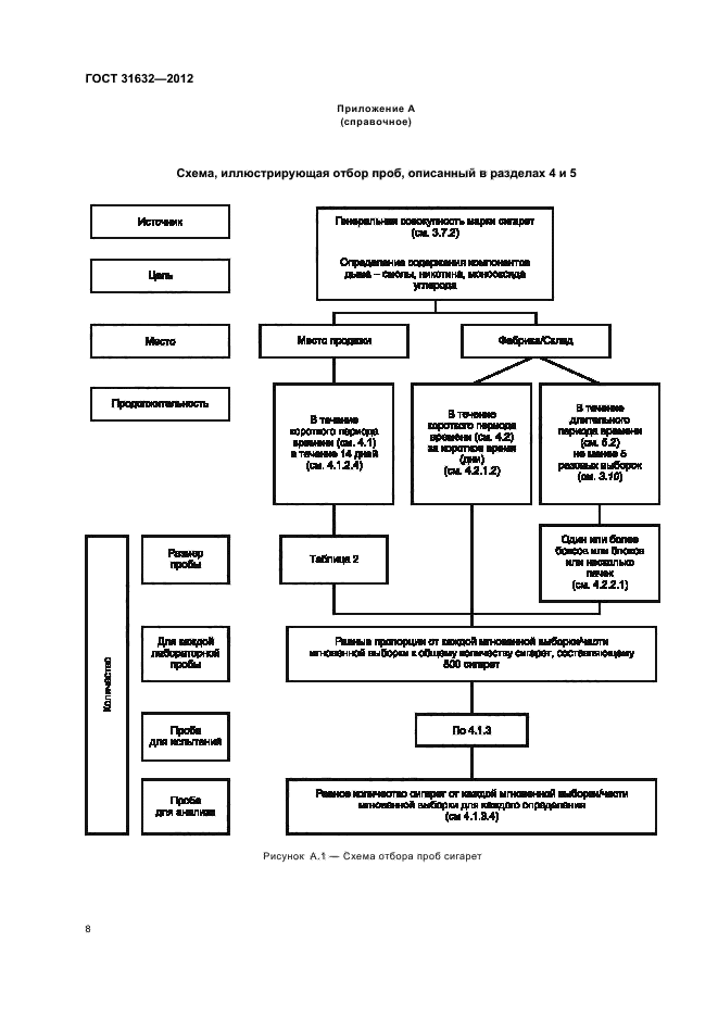
Сигареты. Отбор проб

Обозначение:ГОСТ 31632-2012
Текущий статус документа: действующий
Название документа рус.:Сигареты. Отбор проб
Название документа англ.:Cigarettes. Sampling
Дата актуализации текста:01.12.2013
Дата издания:22.04.2013
Дата введения:01.07.2013
Дата последнего изменения:22.08.2013
Область применения:Настоящий стандарт устанавливает два метода отбора проб из генеральной совокупности конкретного наименования сигарет, произведенной или выпущенной для продажи:
а) отбор проб «в течение короткого периода времени», позволяющий дать единовременную оценку одной или нескольким характеристикам сигарет. Его следует проводить за возможно короткое время;
б) отбор проб «в течение продолжительного периода времени», позволяющий давать многократную оценку одной или нескольким характеристикам сигарет. Практически это серия разовых выборок в течение продолжительного периода времени
ГОСТ 31632-2012ГОСТ 31632-2012ГОСТ 31632-2012ГОСТ 31632-2012ГОСТ 31632-2012ГОСТ 31632-2012ГОСТ 31632-2012ГОСТ 31632-2012ГОСТ 31632-2012ГОСТ 31632-2012ГОСТ 31632-2012ГОСТ 31632-2012ГОСТ 31632-2012ГОСТ 31632-2012ГОСТ 31632-2012ГОСТ 31632-2012ГОСТ 31632-2012ГОСТ 31632-2012ГОСТ 31632-2012ГОСТ 31632-2012
 




ГОСТЫ, СТРОИТЕЛЬНЫЕ и ТЕХНИЧЕСКИЕ НОРМАТИВЫ.
Некоммерческая онлайн система, содержащая все Российские Госты, национальные Стандарты и нормативы.
В Системе содержится более 150000 файлов нормативно-технической документации, действующей на территории РФ.
Система предназначена для широкого круга инженерно-технических специалистов.

Рейтинг@Mail.ru Яндекс цитирования

Copyright © www.gostrf.com, 2008 - 2026