Крупнейшая бесплатная информационно-справочная система онлайн доступа к полному собранию технических нормативно-правовых актов РФ. Огромная база технических нормативов (более 150 тысяч документов) и полное собрание национальных стандартов, аутентичное официальной базе Госстандарта. GOSTRF.com - это более 1 Терабайта бесплатной технической информации для всех пользователей интернета. Все электронные копии представленных здесь документов могут распространяться без каких-либо ограничений. Поощряется распространение информации с этого сайта на любых других ресурсах. Каждый человек имеет право на неограниченный доступ к этим документам! Каждый человек имеет право на знание требований, изложенных в данных нормативно-правовых актах!

  


 

ГОСТ Р 51318.12-2012

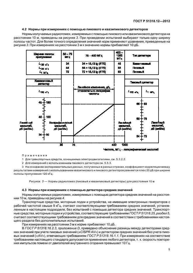
Совместимость технических средств электромагнитная. Транспортные средства, моторные лодки и устройства с двигателями внутреннего сгорания. Характеристики индустриальных радиопомех. Нормы и методы измерений для защиты радиоприемных устройств, размещенных вне подвижных средств

Обозначение:ГОСТ Р 51318.12-2012
Текущий статус документа: действующий
Название документа рус.:Совместимость технических средств электромагнитная. Транспортные средства, моторные лодки и устройства с двигателями внутреннего сгорания. Характеристики индустриальных радиопомех. Нормы и методы измерений для защиты радиоприемных устройств, размещенных вне подвижных средств
Название документа англ.:Electromagnetic compatibility of technical equipment. Vehicles, boats and devices with internal combustion engines. Radio disturbance characteristics. Limits and methods for the protection of off-board receivers
Дата актуализации текста:01.12.2013
Дата издания:11.03.2013
Дата введения:01.01.2013
Дата последнего изменения:20.06.2013
Область применения:Нормы, установленные в настоящем стандарте, предназначены для защиты вещательных приемников в полосе частот от 30 до 1000 МГц, применяемых в жилых зонах. Соответствие требованиям настоящего стандарта не может обеспечить адекватную защиту средств радиосвязи новых видов, применяемых в жилых зонах на расстоянии менее 10 м от транспортных средств, моторных лодок или других устройств
ГОСТ Р 51318.12-2012ГОСТ Р 51318.12-2012ГОСТ Р 51318.12-2012ГОСТ Р 51318.12-2012ГОСТ Р 51318.12-2012ГОСТ Р 51318.12-2012ГОСТ Р 51318.12-2012ГОСТ Р 51318.12-2012ГОСТ Р 51318.12-2012ГОСТ Р 51318.12-2012ГОСТ Р 51318.12-2012ГОСТ Р 51318.12-2012ГОСТ Р 51318.12-2012ГОСТ Р 51318.12-2012ГОСТ Р 51318.12-2012ГОСТ Р 51318.12-2012ГОСТ Р 51318.12-2012ГОСТ Р 51318.12-2012ГОСТ Р 51318.12-2012ГОСТ Р 51318.12-2012ГОСТ Р 51318.12-2012ГОСТ Р 51318.12-2012ГОСТ Р 51318.12-2012ГОСТ Р 51318.12-2012ГОСТ Р 51318.12-2012ГОСТ Р 51318.12-2012ГОСТ Р 51318.12-2012ГОСТ Р 51318.12-2012ГОСТ Р 51318.12-2012ГОСТ Р 51318.12-2012ГОСТ Р 51318.12-2012ГОСТ Р 51318.12-2012ГОСТ Р 51318.12-2012ГОСТ Р 51318.12-2012ГОСТ Р 51318.12-2012ГОСТ Р 51318.12-2012ГОСТ Р 51318.12-2012ГОСТ Р 51318.12-2012ГОСТ Р 51318.12-2012ГОСТ Р 51318.12-2012ГОСТ Р 51318.12-2012ГОСТ Р 51318.12-2012
 




ГОСТЫ, СТРОИТЕЛЬНЫЕ и ТЕХНИЧЕСКИЕ НОРМАТИВЫ.
Некоммерческая онлайн система, содержащая все Российские Госты, национальные Стандарты и нормативы.
В Системе содержится более 150000 файлов нормативно-технической документации, действующей на территории РФ.
Система предназначена для широкого круга инженерно-технических специалистов.

Рейтинг@Mail.ru Яндекс цитирования

Copyright © www.gostrf.com, 2008 - 2026