Крупнейшая бесплатная информационно-справочная система онлайн доступа к полному собранию технических нормативно-правовых актов РФ. Огромная база технических нормативов (более 150 тысяч документов) и полное собрание национальных стандартов, аутентичное официальной базе Госстандарта. GOSTRF.com - это более 1 Терабайта бесплатной технической информации для всех пользователей интернета. Все электронные копии представленных здесь документов могут распространяться без каких-либо ограничений. Поощряется распространение информации с этого сайта на любых других ресурсах. Каждый человек имеет право на неограниченный доступ к этим документам! Каждый человек имеет право на знание требований, изложенных в данных нормативно-правовых актах!

  


 

ГОСТ 31610.26-2012

Взрывоопасные среды. Часть 26. Оборудование с уровнем взрывозащиты оборудования Gа

Обозначение:ГОСТ 31610.26-2012
Текущий статус документа: действующий
Название документа рус.:Взрывоопасные среды. Часть 26. Оборудование с уровнем взрывозащиты оборудования Gа
Название документа англ.:Explosive atmospheres. Part 26. Equipment with equipment protection level (EPL) Ga
Дата актуализации текста:01.12.2013
Дата издания:29.05.2013
Дата введения:15.02.2013
Дата последнего изменения:11.09.2013
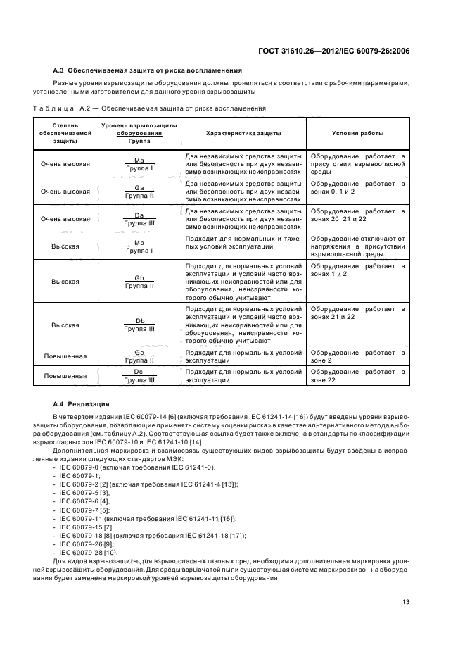
Область применения:Настоящий стандарт устанавливает требования к конструкции, испытанию и маркировке электрооборудования, обеспечивающего уровень взрывозащиты оборудования Ga.
Настоящий стандарт распространяется также на оборудование, установленное на границе применения разных уровней взрывозащиты.
Настоящий стандарт распространяется на оборудование, которое установлено в среде, требующей более низкого уровня взрывозащиты, но электрически соединено с оборудованием с уровнем взрывозащиты оборудования Ga (связанное оборудование)
ГОСТ 31610.26-2012ГОСТ 31610.26-2012ГОСТ 31610.26-2012ГОСТ 31610.26-2012ГОСТ 31610.26-2012ГОСТ 31610.26-2012ГОСТ 31610.26-2012ГОСТ 31610.26-2012ГОСТ 31610.26-2012ГОСТ 31610.26-2012ГОСТ 31610.26-2012ГОСТ 31610.26-2012ГОСТ 31610.26-2012ГОСТ 31610.26-2012ГОСТ 31610.26-2012ГОСТ 31610.26-2012ГОСТ 31610.26-2012ГОСТ 31610.26-2012ГОСТ 31610.26-2012ГОСТ 31610.26-2012
 




ГОСТЫ, СТРОИТЕЛЬНЫЕ и ТЕХНИЧЕСКИЕ НОРМАТИВЫ.
Некоммерческая онлайн система, содержащая все Российские Госты, национальные Стандарты и нормативы.
В Системе содержится более 150000 файлов нормативно-технической документации, действующей на территории РФ.
Система предназначена для широкого круга инженерно-технических специалистов.

Рейтинг@Mail.ru Яндекс цитирования

Copyright © www.gostrf.com, 2008 - 2026