Крупнейшая бесплатная информационно-справочная система онлайн доступа к полному собранию технических нормативно-правовых актов РФ. Огромная база технических нормативов (более 150 тысяч документов) и полное собрание национальных стандартов, аутентичное официальной базе Госстандарта. GOSTRF.com - это более 1 Терабайта бесплатной технической информации для всех пользователей интернета. Все электронные копии представленных здесь документов могут распространяться без каких-либо ограничений. Поощряется распространение информации с этого сайта на любых других ресурсах. Каждый человек имеет право на неограниченный доступ к этим документам! Каждый человек имеет право на знание требований, изложенных в данных нормативно-правовых актах!

  


 

ГОСТ 31703-2012

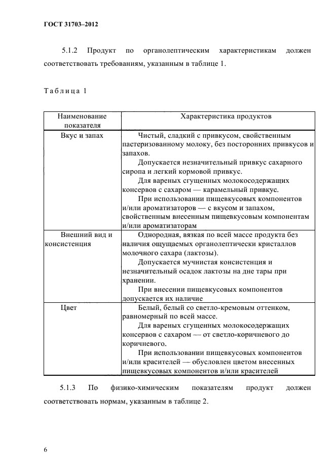
Консервы молокосодержащие сгущенные с сахаром. Общие технические условия

Обозначение:ГОСТ 31703-2012
Текущий статус документа: действующий
Название документа рус.:Консервы молокосодержащие сгущенные с сахаром. Общие технические условия
Название документа англ.:Milk-containing sweetened condensed canned foods. General specifications
Дата актуализации текста:01.12.2013
Дата издания:28.06.2013
Дата введения:01.07.2013
Дата последнего изменения:11.09.2013
Область применения:Настоящий стандарт распространяется на консервы молокосодержащие сгущенные с сахаром, предназначенные для непосредственного употребления в пищу и для промышленной переработки
ГОСТ 31703-2012ГОСТ 31703-2012ГОСТ 31703-2012ГОСТ 31703-2012ГОСТ 31703-2012ГОСТ 31703-2012ГОСТ 31703-2012ГОСТ 31703-2012ГОСТ 31703-2012ГОСТ 31703-2012ГОСТ 31703-2012ГОСТ 31703-2012ГОСТ 31703-2012ГОСТ 31703-2012ГОСТ 31703-2012ГОСТ 31703-2012ГОСТ 31703-2012ГОСТ 31703-2012ГОСТ 31703-2012ГОСТ 31703-2012ГОСТ 31703-2012
 




ГОСТЫ, СТРОИТЕЛЬНЫЕ и ТЕХНИЧЕСКИЕ НОРМАТИВЫ.
Некоммерческая онлайн система, содержащая все Российские Госты, национальные Стандарты и нормативы.
В Системе содержится более 150000 файлов нормативно-технической документации, действующей на территории РФ.
Система предназначена для широкого круга инженерно-технических специалистов.

Рейтинг@Mail.ru Яндекс цитирования

Copyright © www.gostrf.com, 2008 - 2026