Крупнейшая бесплатная информационно-справочная система онлайн доступа к полному собранию технических нормативно-правовых актов РФ. Огромная база технических нормативов (более 150 тысяч документов) и полное собрание национальных стандартов, аутентичное официальной базе Госстандарта. GOSTRF.com - это более 1 Терабайта бесплатной технической информации для всех пользователей интернета. Все электронные копии представленных здесь документов могут распространяться без каких-либо ограничений. Поощряется распространение информации с этого сайта на любых других ресурсах. Каждый человек имеет право на неограниченный доступ к этим документам! Каждый человек имеет право на знание требований, изложенных в данных нормативно-правовых актах!

  


 

ГОСТ 8.063-2012

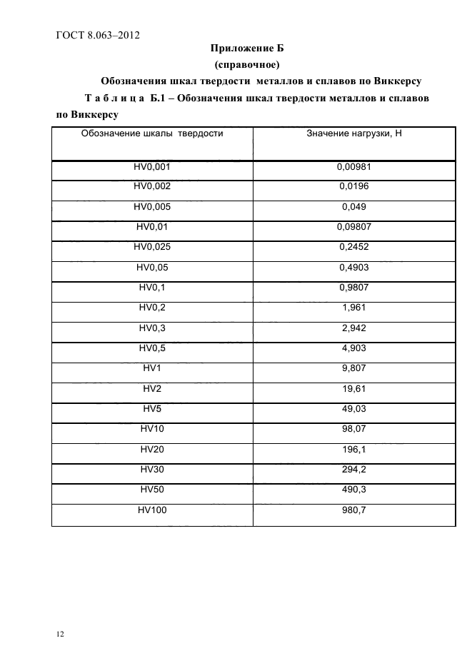
Государственная система обеспечения единства измерений. Государственная поверочная схема для средств измерений твердости металлов и сплавов по шкале Виккерса

Обозначение:ГОСТ 8.063-2012
Текущий статус документа: принят
Название документа рус.:Государственная система обеспечения единства измерений. Государственная поверочная схема для средств измерений твердости металлов и сплавов по шкале Виккерса
Название документа англ.:State system for ensuring the uniformity of measurements. State verification schedule for means measuring of metals and alloys on Vickers scales hardness
Дата актуализации текста:01.12.2013
Дата издания:08.10.2013
Дата введения:01.03.2014
Дата последнего изменения:21.11.2013
Область применения:Настоящий стандарт распространяется на государственную поверочную схему для средств измерений твердости металлов и сплавов по шкалам Виккерса (числа HV) и устанавливает порядок передачи значений твердости в числах HV от государственного первичного специального эталона с помощью рабочих эталонов рабочим средствам измерений с указанием применяемых методов поверки
ГОСТ 8.063-2012ГОСТ 8.063-2012ГОСТ 8.063-2012ГОСТ 8.063-2012ГОСТ 8.063-2012ГОСТ 8.063-2012ГОСТ 8.063-2012ГОСТ 8.063-2012ГОСТ 8.063-2012ГОСТ 8.063-2012ГОСТ 8.063-2012ГОСТ 8.063-2012ГОСТ 8.063-2012ГОСТ 8.063-2012ГОСТ 8.063-2012ГОСТ 8.063-2012
 




ГОСТЫ, СТРОИТЕЛЬНЫЕ и ТЕХНИЧЕСКИЕ НОРМАТИВЫ.
Некоммерческая онлайн система, содержащая все Российские Госты, национальные Стандарты и нормативы.
В Системе содержится более 150000 файлов нормативно-технической документации, действующей на территории РФ.
Система предназначена для широкого круга инженерно-технических специалистов.

Рейтинг@Mail.ru Яндекс цитирования

Copyright © www.gostrf.com, 2008 - 2026