Крупнейшая бесплатная информационно-справочная система онлайн доступа к полному собранию технических нормативно-правовых актов РФ. Огромная база технических нормативов (более 150 тысяч документов) и полное собрание национальных стандартов, аутентичное официальной базе Госстандарта. GOSTRF.com - это более 1 Терабайта бесплатной технической информации для всех пользователей интернета. Все электронные копии представленных здесь документов могут распространяться без каких-либо ограничений. Поощряется распространение информации с этого сайта на любых других ресурсах. Каждый человек имеет право на неограниченный доступ к этим документам! Каждый человек имеет право на знание требований, изложенных в данных нормативно-правовых актах!

  


 

ГОСТ Р ИСО/МЭК 7816-9-2011

Карты идентификационные. Карты на интегральных схемах. Часть 9. Команды для управления картами

Обозначение:ГОСТ Р ИСО/МЭК 7816-9-2011
Текущий статус документа: действующий
Название документа рус.:Карты идентификационные. Карты на интегральных схемах. Часть 9. Команды для управления картами
Название документа англ.:Identification cards. Integrated circuit cards. Part 9. Commands for card management
Дата актуализации текста:01.12.2013
Дата издания:27.03.2013
Дата введения:01.01.2013
Дата последнего изменения:22.05.2013
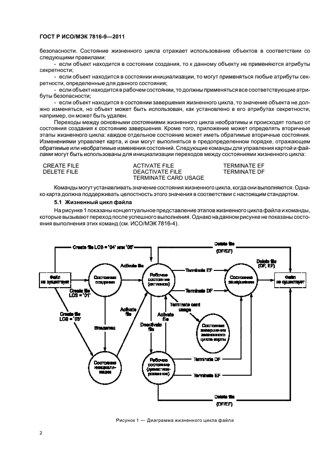
Область применения:Настоящий стандарт определяет межотраслевые команды для управления картой и файлами. Эти команды охватывают полный жизненный цикл карты, и поэтому некоторые команды могут использоваться до того, как карта будет выдана держателю карты или после того, как истечет срок действия карты.
Настоящий стандарт не распространяется на реализацию обмена данными внутри карты и/или внешнего окружения
ГОСТ Р ИСО/МЭК 7816-9-2011ГОСТ Р ИСО/МЭК 7816-9-2011ГОСТ Р ИСО/МЭК 7816-9-2011ГОСТ Р ИСО/МЭК 7816-9-2011ГОСТ Р ИСО/МЭК 7816-9-2011ГОСТ Р ИСО/МЭК 7816-9-2011ГОСТ Р ИСО/МЭК 7816-9-2011ГОСТ Р ИСО/МЭК 7816-9-2011ГОСТ Р ИСО/МЭК 7816-9-2011ГОСТ Р ИСО/МЭК 7816-9-2011ГОСТ Р ИСО/МЭК 7816-9-2011ГОСТ Р ИСО/МЭК 7816-9-2011ГОСТ Р ИСО/МЭК 7816-9-2011ГОСТ Р ИСО/МЭК 7816-9-2011ГОСТ Р ИСО/МЭК 7816-9-2011ГОСТ Р ИСО/МЭК 7816-9-2011
 




ГОСТЫ, СТРОИТЕЛЬНЫЕ и ТЕХНИЧЕСКИЕ НОРМАТИВЫ.
Некоммерческая онлайн система, содержащая все Российские Госты, национальные Стандарты и нормативы.
В Системе содержится более 150000 файлов нормативно-технической документации, действующей на территории РФ.
Система предназначена для широкого круга инженерно-технических специалистов.

Рейтинг@Mail.ru Яндекс цитирования

Copyright © www.gostrf.com, 2008 - 2026