Крупнейшая бесплатная информационно-справочная система онлайн доступа к полному собранию технических нормативно-правовых актов РФ. Огромная база технических нормативов (более 150 тысяч документов) и полное собрание национальных стандартов, аутентичное официальной базе Госстандарта. GOSTRF.com - это более 1 Терабайта бесплатной технической информации для всех пользователей интернета. Все электронные копии представленных здесь документов могут распространяться без каких-либо ограничений. Поощряется распространение информации с этого сайта на любых других ресурсах. Каждый человек имеет право на неограниченный доступ к этим документам! Каждый человек имеет право на знание требований, изложенных в данных нормативно-правовых актах!

  


 

ГОСТ Р ИСО 22006-2012

Системы менеджмента качества. Руководящие указания по применению ИСО 9001:2008 в растениеводстве

Обозначение:ГОСТ Р ИСО 22006-2012
Текущий статус документа: действующий
Название документа рус.:Системы менеджмента качества. Руководящие указания по применению ИСО 9001:2008 в растениеводстве
Название документа англ.:Quality management systems. Guidelines for the application of ISO 9001:2008 to crop production
Дата актуализации текста:01.12.2013
Дата издания:05.06.2013
Дата введения:01.01.2013
Дата последнего изменения:15.07.2013
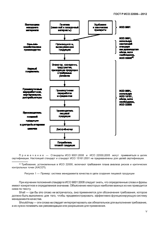
Область применения:Настоящий стандарт содержит рекомендации с целью помочь производителям продукции растениеводства внедрить требования стандарта ИСО 9001:2008 для процессов, связанных с производством продукции растениеводства
ГОСТ Р ИСО 22006-2012ГОСТ Р ИСО 22006-2012ГОСТ Р ИСО 22006-2012ГОСТ Р ИСО 22006-2012ГОСТ Р ИСО 22006-2012ГОСТ Р ИСО 22006-2012ГОСТ Р ИСО 22006-2012ГОСТ Р ИСО 22006-2012ГОСТ Р ИСО 22006-2012ГОСТ Р ИСО 22006-2012ГОСТ Р ИСО 22006-2012ГОСТ Р ИСО 22006-2012ГОСТ Р ИСО 22006-2012ГОСТ Р ИСО 22006-2012ГОСТ Р ИСО 22006-2012ГОСТ Р ИСО 22006-2012ГОСТ Р ИСО 22006-2012ГОСТ Р ИСО 22006-2012ГОСТ Р ИСО 22006-2012ГОСТ Р ИСО 22006-2012ГОСТ Р ИСО 22006-2012ГОСТ Р ИСО 22006-2012ГОСТ Р ИСО 22006-2012ГОСТ Р ИСО 22006-2012ГОСТ Р ИСО 22006-2012ГОСТ Р ИСО 22006-2012ГОСТ Р ИСО 22006-2012ГОСТ Р ИСО 22006-2012ГОСТ Р ИСО 22006-2012ГОСТ Р ИСО 22006-2012ГОСТ Р ИСО 22006-2012ГОСТ Р ИСО 22006-2012ГОСТ Р ИСО 22006-2012ГОСТ Р ИСО 22006-2012ГОСТ Р ИСО 22006-2012ГОСТ Р ИСО 22006-2012ГОСТ Р ИСО 22006-2012ГОСТ Р ИСО 22006-2012ГОСТ Р ИСО 22006-2012ГОСТ Р ИСО 22006-2012ГОСТ Р ИСО 22006-2012ГОСТ Р ИСО 22006-2012ГОСТ Р ИСО 22006-2012ГОСТ Р ИСО 22006-2012ГОСТ Р ИСО 22006-2012ГОСТ Р ИСО 22006-2012ГОСТ Р ИСО 22006-2012ГОСТ Р ИСО 22006-2012ГОСТ Р ИСО 22006-2012ГОСТ Р ИСО 22006-2012ГОСТ Р ИСО 22006-2012ГОСТ Р ИСО 22006-2012ГОСТ Р ИСО 22006-2012ГОСТ Р ИСО 22006-2012ГОСТ Р ИСО 22006-2012ГОСТ Р ИСО 22006-2012ГОСТ Р ИСО 22006-2012ГОСТ Р ИСО 22006-2012ГОСТ Р ИСО 22006-2012ГОСТ Р ИСО 22006-2012ГОСТ Р ИСО 22006-2012ГОСТ Р ИСО 22006-2012ГОСТ Р ИСО 22006-2012ГОСТ Р ИСО 22006-2012ГОСТ Р ИСО 22006-2012ГОСТ Р ИСО 22006-2012ГОСТ Р ИСО 22006-2012ГОСТ Р ИСО 22006-2012ГОСТ Р ИСО 22006-2012ГОСТ Р ИСО 22006-2012ГОСТ Р ИСО 22006-2012ГОСТ Р ИСО 22006-2012ГОСТ Р ИСО 22006-2012ГОСТ Р ИСО 22006-2012
 




ГОСТЫ, СТРОИТЕЛЬНЫЕ и ТЕХНИЧЕСКИЕ НОРМАТИВЫ.
Некоммерческая онлайн система, содержащая все Российские Госты, национальные Стандарты и нормативы.
В Системе содержится более 150000 файлов нормативно-технической документации, действующей на территории РФ.
Система предназначена для широкого круга инженерно-технических специалистов.

Рейтинг@Mail.ru Яндекс цитирования

Copyright © www.gostrf.com, 2008 - 2026