Крупнейшая бесплатная информационно-справочная система онлайн доступа к полному собранию технических нормативно-правовых актов РФ. Огромная база технических нормативов (более 150 тысяч документов) и полное собрание национальных стандартов, аутентичное официальной базе Госстандарта. GOSTRF.com - это более 1 Терабайта бесплатной технической информации для всех пользователей интернета. Все электронные копии представленных здесь документов могут распространяться без каких-либо ограничений. Поощряется распространение информации с этого сайта на любых других ресурсах. Каждый человек имеет право на неограниченный доступ к этим документам! Каждый человек имеет право на знание требований, изложенных в данных нормативно-правовых актах!

  


 

ГОСТ Р 54911-2012

Качество данных. Часть 120. Основные данные. Обмен данными характеристик. Происхождение

Обозначение:ГОСТ Р 54911-2012
Текущий статус документа: действующий
Название документа рус.:Качество данных. Часть 120. Основные данные. Обмен данными характеристик. Происхождение
Название документа англ.:Data qulity. Part 120. Master data. Exchange of characteristic data. Provenance
Дата актуализации текста:01.12.2013
Дата издания:28.02.2013
Дата введения:01.01.2013
Дата последнего изменения:22.05.2013
Область применения:Настоящий стандарт устанавливает требования к представлению и обмену информацией, относящейся к происхождению основных данных, состоящих из данных характеристик, а также дополняет требования, установленные в ИСО 8000-110
ГОСТ Р 54911-2012ГОСТ Р 54911-2012ГОСТ Р 54911-2012ГОСТ Р 54911-2012ГОСТ Р 54911-2012ГОСТ Р 54911-2012ГОСТ Р 54911-2012ГОСТ Р 54911-2012ГОСТ Р 54911-2012ГОСТ Р 54911-2012ГОСТ Р 54911-2012ГОСТ Р 54911-2012ГОСТ Р 54911-2012ГОСТ Р 54911-2012ГОСТ Р 54911-2012ГОСТ Р 54911-2012ГОСТ Р 54911-2012ГОСТ Р 54911-2012ГОСТ Р 54911-2012ГОСТ Р 54911-2012ГОСТ Р 54911-2012ГОСТ Р 54911-2012ГОСТ Р 54911-2012ГОСТ Р 54911-2012ГОСТ Р 54911-2012ГОСТ Р 54911-2012ГОСТ Р 54911-2012ГОСТ Р 54911-2012
 




ГОСТЫ, СТРОИТЕЛЬНЫЕ и ТЕХНИЧЕСКИЕ НОРМАТИВЫ.
Некоммерческая онлайн система, содержащая все Российские Госты, национальные Стандарты и нормативы.
В Системе содержится более 150000 файлов нормативно-технической документации, действующей на территории РФ.
Система предназначена для широкого круга инженерно-технических специалистов.

Рейтинг@Mail.ru Яндекс цитирования

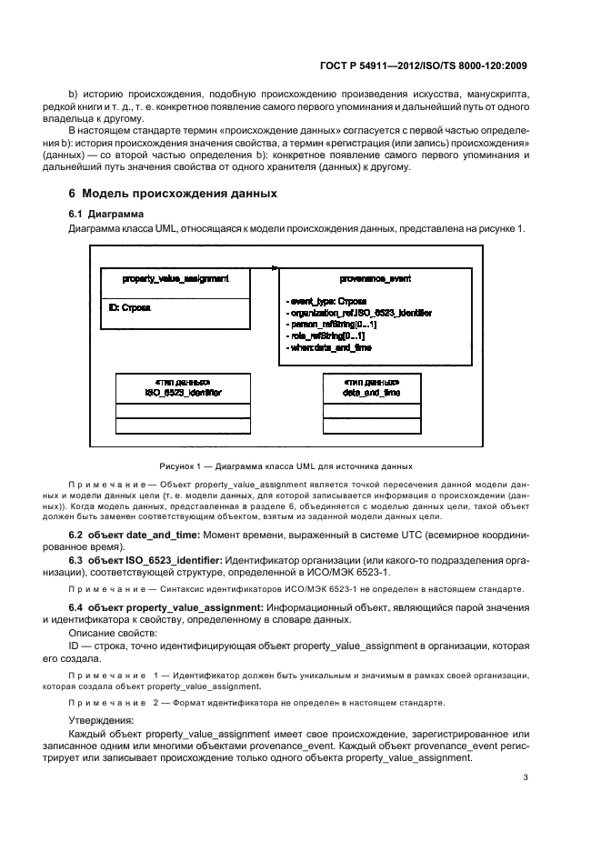
Copyright © www.gostrf.com, 2008 - 2026