Крупнейшая бесплатная информационно-справочная система онлайн доступа к полному собранию технических нормативно-правовых актов РФ. Огромная база технических нормативов (более 150 тысяч документов) и полное собрание национальных стандартов, аутентичное официальной базе Госстандарта. GOSTRF.com - это более 1 Терабайта бесплатной технической информации для всех пользователей интернета. Все электронные копии представленных здесь документов могут распространяться без каких-либо ограничений. Поощряется распространение информации с этого сайта на любых других ресурсах. Каждый человек имеет право на неограниченный доступ к этим документам! Каждый человек имеет право на знание требований, изложенных в данных нормативно-правовых актах!

  


 

ГОСТ Р ИСО/ТС 10303-1041-2012

Системы автоматизации производства и их интеграция. Представление данных об изделии и обмен этими данными. Часть 1041. Прикладной модуль. Взаимосвязь между определениями представлений изделия

Обозначение:ГОСТ Р ИСО/ТС 10303-1041-2012
Текущий статус документа: действующий
Название документа рус.:Системы автоматизации производства и их интеграция. Представление данных об изделии и обмен этими данными. Часть 1041. Прикладной модуль. Взаимосвязь между определениями представлений изделия
Название документа англ.:Industrial automation systems and integration. Product data representation and exchange. Part 1041. Application module. Product view definition relationship
Дата актуализации текста:01.12.2013
Дата издания:15.04.2013
Дата введения:01.05.2013
Дата последнего изменения:22.05.2013
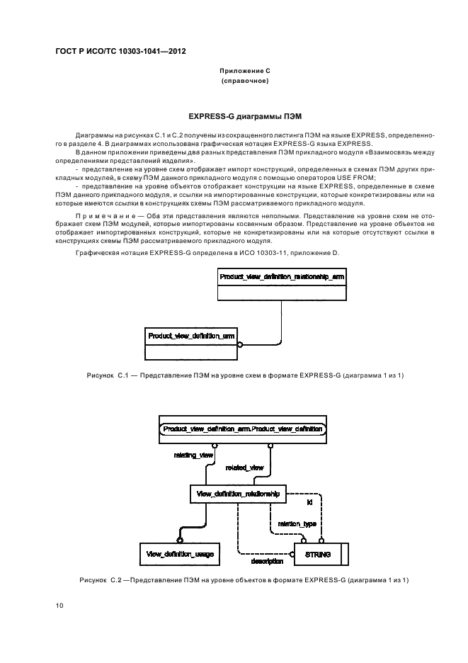
Область применения:Настоящий стандарт определяет прикладной модуль «Взаимосвязь между определениями представлений изделия».
Требования настоящего стандарта распространяются на:
- контекстно-зависимую взаимосвязь между двумя определениями изделия;
- представление использования версии изделия в другой его версии
ГОСТ Р ИСО/ТС 10303-1041-2012ГОСТ Р ИСО/ТС 10303-1041-2012ГОСТ Р ИСО/ТС 10303-1041-2012ГОСТ Р ИСО/ТС 10303-1041-2012ГОСТ Р ИСО/ТС 10303-1041-2012ГОСТ Р ИСО/ТС 10303-1041-2012ГОСТ Р ИСО/ТС 10303-1041-2012ГОСТ Р ИСО/ТС 10303-1041-2012ГОСТ Р ИСО/ТС 10303-1041-2012ГОСТ Р ИСО/ТС 10303-1041-2012ГОСТ Р ИСО/ТС 10303-1041-2012ГОСТ Р ИСО/ТС 10303-1041-2012ГОСТ Р ИСО/ТС 10303-1041-2012ГОСТ Р ИСО/ТС 10303-1041-2012ГОСТ Р ИСО/ТС 10303-1041-2012ГОСТ Р ИСО/ТС 10303-1041-2012ГОСТ Р ИСО/ТС 10303-1041-2012ГОСТ Р ИСО/ТС 10303-1041-2012ГОСТ Р ИСО/ТС 10303-1041-2012ГОСТ Р ИСО/ТС 10303-1041-2012
 




ГОСТЫ, СТРОИТЕЛЬНЫЕ и ТЕХНИЧЕСКИЕ НОРМАТИВЫ.
Некоммерческая онлайн система, содержащая все Российские Госты, национальные Стандарты и нормативы.
В Системе содержится более 150000 файлов нормативно-технической документации, действующей на территории РФ.
Система предназначена для широкого круга инженерно-технических специалистов.

Рейтинг@Mail.ru Яндекс цитирования

Copyright © www.gostrf.com, 2008 - 2026