Крупнейшая бесплатная информационно-справочная система онлайн доступа к полному собранию технических нормативно-правовых актов РФ. Огромная база технических нормативов (более 150 тысяч документов) и полное собрание национальных стандартов, аутентичное официальной базе Госстандарта. GOSTRF.com - это более 1 Терабайта бесплатной технической информации для всех пользователей интернета. Все электронные копии представленных здесь документов могут распространяться без каких-либо ограничений. Поощряется распространение информации с этого сайта на любых других ресурсах. Каждый человек имеет право на неограниченный доступ к этим документам! Каждый человек имеет право на знание требований, изложенных в данных нормативно-правовых актах!

  


 

ГОСТ Р ИСО/МЭК 7816-7-2011

Карты идентификационные. Карты на интегральных схемах с контактами. Часть 7. Межотраслевые команды языка структурированных запросов для карт (SCQL)

Обозначение:ГОСТ Р ИСО/МЭК 7816-7-2011
Текущий статус документа: действующий
Название документа рус.:Карты идентификационные. Карты на интегральных схемах с контактами. Часть 7. Межотраслевые команды языка структурированных запросов для карт (SCQL)
Название документа англ.:Identification cards. Integrated circuit(s) cards with contacts. Part 7. Interindustry commands for structured card query language (SCQL)
Дата актуализации текста:01.12.2013
Дата издания:28.08.2013
Дата введения:01.01.2013
Дата последнего изменения:16.10.2013
Область применения:Настоящий стандарт устанавливает:
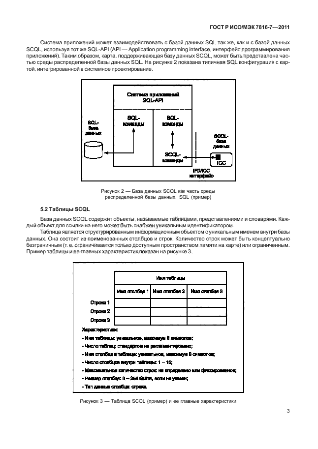
- понятие баз данных SCQL (SCQL - язык структурированных запросов для карты, основанный на SQL;
- соответствующие межотраслевые расширенные команды
ГОСТ Р ИСО/МЭК 7816-7-2011ГОСТ Р ИСО/МЭК 7816-7-2011ГОСТ Р ИСО/МЭК 7816-7-2011ГОСТ Р ИСО/МЭК 7816-7-2011ГОСТ Р ИСО/МЭК 7816-7-2011ГОСТ Р ИСО/МЭК 7816-7-2011ГОСТ Р ИСО/МЭК 7816-7-2011ГОСТ Р ИСО/МЭК 7816-7-2011ГОСТ Р ИСО/МЭК 7816-7-2011ГОСТ Р ИСО/МЭК 7816-7-2011ГОСТ Р ИСО/МЭК 7816-7-2011ГОСТ Р ИСО/МЭК 7816-7-2011ГОСТ Р ИСО/МЭК 7816-7-2011ГОСТ Р ИСО/МЭК 7816-7-2011ГОСТ Р ИСО/МЭК 7816-7-2011ГОСТ Р ИСО/МЭК 7816-7-2011ГОСТ Р ИСО/МЭК 7816-7-2011ГОСТ Р ИСО/МЭК 7816-7-2011ГОСТ Р ИСО/МЭК 7816-7-2011ГОСТ Р ИСО/МЭК 7816-7-2011ГОСТ Р ИСО/МЭК 7816-7-2011ГОСТ Р ИСО/МЭК 7816-7-2011ГОСТ Р ИСО/МЭК 7816-7-2011ГОСТ Р ИСО/МЭК 7816-7-2011ГОСТ Р ИСО/МЭК 7816-7-2011ГОСТ Р ИСО/МЭК 7816-7-2011ГОСТ Р ИСО/МЭК 7816-7-2011ГОСТ Р ИСО/МЭК 7816-7-2011ГОСТ Р ИСО/МЭК 7816-7-2011ГОСТ Р ИСО/МЭК 7816-7-2011ГОСТ Р ИСО/МЭК 7816-7-2011ГОСТ Р ИСО/МЭК 7816-7-2011ГОСТ Р ИСО/МЭК 7816-7-2011ГОСТ Р ИСО/МЭК 7816-7-2011ГОСТ Р ИСО/МЭК 7816-7-2011ГОСТ Р ИСО/МЭК 7816-7-2011ГОСТ Р ИСО/МЭК 7816-7-2011ГОСТ Р ИСО/МЭК 7816-7-2011ГОСТ Р ИСО/МЭК 7816-7-2011ГОСТ Р ИСО/МЭК 7816-7-2011
 




ГОСТЫ, СТРОИТЕЛЬНЫЕ и ТЕХНИЧЕСКИЕ НОРМАТИВЫ.
Некоммерческая онлайн система, содержащая все Российские Госты, национальные Стандарты и нормативы.
В Системе содержится более 150000 файлов нормативно-технической документации, действующей на территории РФ.
Система предназначена для широкого круга инженерно-технических специалистов.

Рейтинг@Mail.ru Яндекс цитирования

Copyright © www.gostrf.com, 2008 - 2026