Крупнейшая бесплатная информационно-справочная система онлайн доступа к полному собранию технических нормативно-правовых актов РФ. Огромная база технических нормативов (более 150 тысяч документов) и полное собрание национальных стандартов, аутентичное официальной базе Госстандарта. GOSTRF.com - это более 1 Терабайта бесплатной технической информации для всех пользователей интернета. Все электронные копии представленных здесь документов могут распространяться без каких-либо ограничений. Поощряется распространение информации с этого сайта на любых других ресурсах. Каждый человек имеет право на неограниченный доступ к этим документам! Каждый человек имеет право на знание требований, изложенных в данных нормативно-правовых актах!

  


 

ГОСТ Р 55061-2012

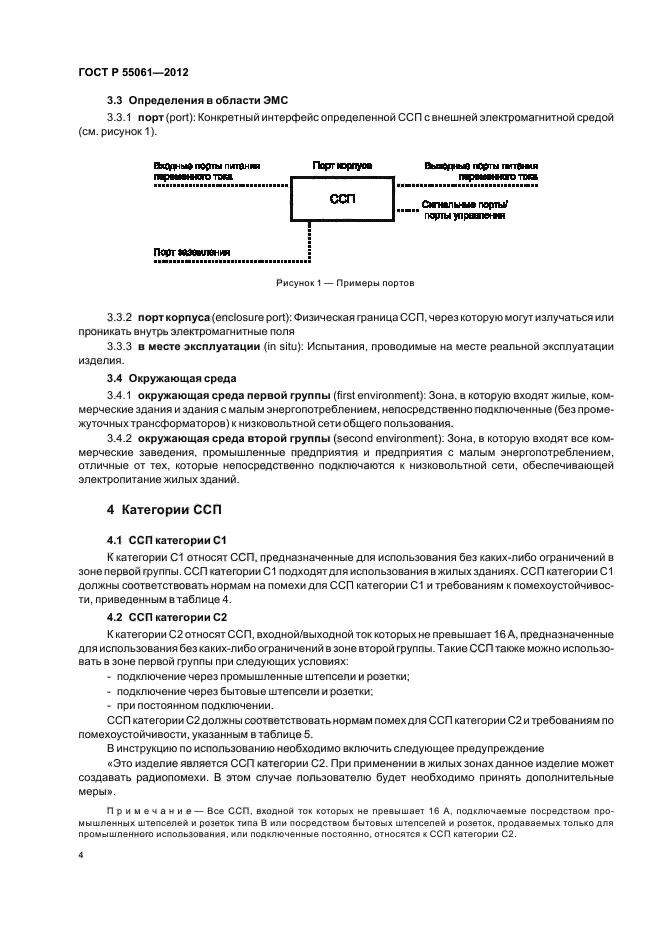
Совместимость технических средств электромагнитная. Статические системы переключения. Часть 2. Требования и методы испытаний

Обозначение:ГОСТ Р 55061-2012
Текущий статус документа: действующий
Название документа рус.:Совместимость технических средств электромагнитная. Статические системы переключения. Часть 2. Требования и методы испытаний
Название документа англ.:Electromagnetic compatibility of technical equipment. Static transfer system. Part 2. Requirements and test methods
Дата актуализации текста:01.12.2013
Дата издания:07.05.2013
Дата введения:01.01.2013
Дата последнего изменения:22.05.2013
Область применения:Настоящий стандарт распространяется на автономные статические системы переключения переменного тока, предназначенные для обеспечения непрерывности питания нагрузки посредством управляемого переключения подачи мощности от двух или более независимых источников питания переменного тока с прерыванием или без прерывания.
Требования настоящего стандарта распространяются на ССП с напряжением до 1000 В переменного тока включительно, предназначенные для использования в однофазных двухфазных и трехфазных линиях.
Настоящий стандарт имеет приоритет над всеми аспектами общих стандартов в области ЭМС, и при соответствии ССП требованиям настоящего стандарта проведение каких-либо дополнительных испытаний по ЭМС не требуется.
Требования настоящего стандарта не учитывают экстремальные случаи, вероятность возникновения которых чрезвычайно мала.
Настоящий стандарт не распространяется на следующие изделия:
- устройства коммутации источников постоянного тока;
- системы с одним источником питания;
- системы переключения, в которых используют только электромеханические устройства коммутации, предназначенные для работы в системах аварийного питания с прерыванием питания, подаваемого в нагрузку во время переключения
ГОСТ Р 55061-2012ГОСТ Р 55061-2012ГОСТ Р 55061-2012ГОСТ Р 55061-2012ГОСТ Р 55061-2012ГОСТ Р 55061-2012ГОСТ Р 55061-2012ГОСТ Р 55061-2012ГОСТ Р 55061-2012ГОСТ Р 55061-2012ГОСТ Р 55061-2012ГОСТ Р 55061-2012ГОСТ Р 55061-2012ГОСТ Р 55061-2012ГОСТ Р 55061-2012ГОСТ Р 55061-2012ГОСТ Р 55061-2012ГОСТ Р 55061-2012ГОСТ Р 55061-2012ГОСТ Р 55061-2012ГОСТ Р 55061-2012ГОСТ Р 55061-2012ГОСТ Р 55061-2012ГОСТ Р 55061-2012ГОСТ Р 55061-2012ГОСТ Р 55061-2012ГОСТ Р 55061-2012ГОСТ Р 55061-2012
 




ГОСТЫ, СТРОИТЕЛЬНЫЕ и ТЕХНИЧЕСКИЕ НОРМАТИВЫ.
Некоммерческая онлайн система, содержащая все Российские Госты, национальные Стандарты и нормативы.
В Системе содержится более 150000 файлов нормативно-технической документации, действующей на территории РФ.
Система предназначена для широкого круга инженерно-технических специалистов.

Рейтинг@Mail.ru Яндекс цитирования

Copyright © www.gostrf.com, 2008 - 2026