Крупнейшая бесплатная информационно-справочная система онлайн доступа к полному собранию технических нормативно-правовых актов РФ. Огромная база технических нормативов (более 150 тысяч документов) и полное собрание национальных стандартов, аутентичное официальной базе Госстандарта. GOSTRF.com - это более 1 Терабайта бесплатной технической информации для всех пользователей интернета. Все электронные копии представленных здесь документов могут распространяться без каких-либо ограничений. Поощряется распространение информации с этого сайта на любых других ресурсах. Каждый человек имеет право на неограниченный доступ к этим документам! Каждый человек имеет право на знание требований, изложенных в данных нормативно-правовых актах!

  


 

ГОСТ Р ИСО 15745-4-2010

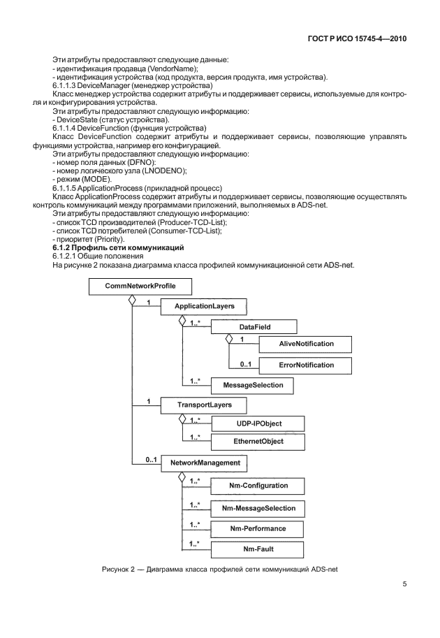
Системы промышленной автоматизации и интеграция. Прикладная интеграционная среда открытых систем. Часть 4. Эталонное описание систем управления на основе стандарта Ethernet

Обозначение:ГОСТ Р ИСО 15745-4-2010
Текущий статус документа: действующий
Название документа рус.:Системы промышленной автоматизации и интеграция. Прикладная интеграционная среда открытых систем. Часть 4. Эталонное описание систем управления на основе стандарта Ethernet
Название документа англ.:Industrial automation systems and integration. Open systems application integration framework. Part 4. Reference description for Ethernet-based control systems
Дата актуализации текста:01.12.2013
Дата издания:28.08.2013
Дата введения:31.08.2011
Дата последнего изменения:16.10.2013
Область применения:Настоящий стандарт устанавливает описание технологических спецификаций для элементов и правил как профилей коммуникационной сети, так и связанных с коммуникациями аспектов профилей устройств, относящихся к системам управления на основе Ethernet
ГОСТ Р ИСО 15745-4-2010ГОСТ Р ИСО 15745-4-2010ГОСТ Р ИСО 15745-4-2010ГОСТ Р ИСО 15745-4-2010ГОСТ Р ИСО 15745-4-2010ГОСТ Р ИСО 15745-4-2010ГОСТ Р ИСО 15745-4-2010ГОСТ Р ИСО 15745-4-2010ГОСТ Р ИСО 15745-4-2010ГОСТ Р ИСО 15745-4-2010ГОСТ Р ИСО 15745-4-2010ГОСТ Р ИСО 15745-4-2010ГОСТ Р ИСО 15745-4-2010ГОСТ Р ИСО 15745-4-2010ГОСТ Р ИСО 15745-4-2010ГОСТ Р ИСО 15745-4-2010ГОСТ Р ИСО 15745-4-2010ГОСТ Р ИСО 15745-4-2010ГОСТ Р ИСО 15745-4-2010ГОСТ Р ИСО 15745-4-2010ГОСТ Р ИСО 15745-4-2010ГОСТ Р ИСО 15745-4-2010ГОСТ Р ИСО 15745-4-2010ГОСТ Р ИСО 15745-4-2010ГОСТ Р ИСО 15745-4-2010ГОСТ Р ИСО 15745-4-2010ГОСТ Р ИСО 15745-4-2010ГОСТ Р ИСО 15745-4-2010ГОСТ Р ИСО 15745-4-2010ГОСТ Р ИСО 15745-4-2010ГОСТ Р ИСО 15745-4-2010ГОСТ Р ИСО 15745-4-2010ГОСТ Р ИСО 15745-4-2010ГОСТ Р ИСО 15745-4-2010ГОСТ Р ИСО 15745-4-2010ГОСТ Р ИСО 15745-4-2010ГОСТ Р ИСО 15745-4-2010ГОСТ Р ИСО 15745-4-2010ГОСТ Р ИСО 15745-4-2010ГОСТ Р ИСО 15745-4-2010ГОСТ Р ИСО 15745-4-2010ГОСТ Р ИСО 15745-4-2010ГОСТ Р ИСО 15745-4-2010ГОСТ Р ИСО 15745-4-2010ГОСТ Р ИСО 15745-4-2010ГОСТ Р ИСО 15745-4-2010ГОСТ Р ИСО 15745-4-2010ГОСТ Р ИСО 15745-4-2010ГОСТ Р ИСО 15745-4-2010ГОСТ Р ИСО 15745-4-2010ГОСТ Р ИСО 15745-4-2010ГОСТ Р ИСО 15745-4-2010ГОСТ Р ИСО 15745-4-2010ГОСТ Р ИСО 15745-4-2010ГОСТ Р ИСО 15745-4-2010ГОСТ Р ИСО 15745-4-2010ГОСТ Р ИСО 15745-4-2010ГОСТ Р ИСО 15745-4-2010ГОСТ Р ИСО 15745-4-2010ГОСТ Р ИСО 15745-4-2010ГОСТ Р ИСО 15745-4-2010ГОСТ Р ИСО 15745-4-2010ГОСТ Р ИСО 15745-4-2010ГОСТ Р ИСО 15745-4-2010ГОСТ Р ИСО 15745-4-2010ГОСТ Р ИСО 15745-4-2010ГОСТ Р ИСО 15745-4-2010ГОСТ Р ИСО 15745-4-2010ГОСТ Р ИСО 15745-4-2010ГОСТ Р ИСО 15745-4-2010ГОСТ Р ИСО 15745-4-2010ГОСТ Р ИСО 15745-4-2010ГОСТ Р ИСО 15745-4-2010ГОСТ Р ИСО 15745-4-2010ГОСТ Р ИСО 15745-4-2010ГОСТ Р ИСО 15745-4-2010ГОСТ Р ИСО 15745-4-2010ГОСТ Р ИСО 15745-4-2010ГОСТ Р ИСО 15745-4-2010ГОСТ Р ИСО 15745-4-2010ГОСТ Р ИСО 15745-4-2010ГОСТ Р ИСО 15745-4-2010ГОСТ Р ИСО 15745-4-2010ГОСТ Р ИСО 15745-4-2010ГОСТ Р ИСО 15745-4-2010ГОСТ Р ИСО 15745-4-2010ГОСТ Р ИСО 15745-4-2010ГОСТ Р ИСО 15745-4-2010ГОСТ Р ИСО 15745-4-2010ГОСТ Р ИСО 15745-4-2010ГОСТ Р ИСО 15745-4-2010ГОСТ Р ИСО 15745-4-2010ГОСТ Р ИСО 15745-4-2010ГОСТ Р ИСО 15745-4-2010ГОСТ Р ИСО 15745-4-2010ГОСТ Р ИСО 15745-4-2010ГОСТ Р ИСО 15745-4-2010ГОСТ Р ИСО 15745-4-2010ГОСТ Р ИСО 15745-4-2010ГОСТ Р ИСО 15745-4-2010ГОСТ Р ИСО 15745-4-2010ГОСТ Р ИСО 15745-4-2010ГОСТ Р ИСО 15745-4-2010ГОСТ Р ИСО 15745-4-2010ГОСТ Р ИСО 15745-4-2010ГОСТ Р ИСО 15745-4-2010ГОСТ Р ИСО 15745-4-2010ГОСТ Р ИСО 15745-4-2010ГОСТ Р ИСО 15745-4-2010ГОСТ Р ИСО 15745-4-2010ГОСТ Р ИСО 15745-4-2010ГОСТ Р ИСО 15745-4-2010ГОСТ Р ИСО 15745-4-2010ГОСТ Р ИСО 15745-4-2010ГОСТ Р ИСО 15745-4-2010ГОСТ Р ИСО 15745-4-2010ГОСТ Р ИСО 15745-4-2010ГОСТ Р ИСО 15745-4-2010ГОСТ Р ИСО 15745-4-2010ГОСТ Р ИСО 15745-4-2010ГОСТ Р ИСО 15745-4-2010ГОСТ Р ИСО 15745-4-2010ГОСТ Р ИСО 15745-4-2010ГОСТ Р ИСО 15745-4-2010ГОСТ Р ИСО 15745-4-2010ГОСТ Р ИСО 15745-4-2010ГОСТ Р ИСО 15745-4-2010ГОСТ Р ИСО 15745-4-2010ГОСТ Р ИСО 15745-4-2010ГОСТ Р ИСО 15745-4-2010ГОСТ Р ИСО 15745-4-2010ГОСТ Р ИСО 15745-4-2010ГОСТ Р ИСО 15745-4-2010ГОСТ Р ИСО 15745-4-2010ГОСТ Р ИСО 15745-4-2010ГОСТ Р ИСО 15745-4-2010ГОСТ Р ИСО 15745-4-2010ГОСТ Р ИСО 15745-4-2010ГОСТ Р ИСО 15745-4-2010ГОСТ Р ИСО 15745-4-2010ГОСТ Р ИСО 15745-4-2010ГОСТ Р ИСО 15745-4-2010ГОСТ Р ИСО 15745-4-2010ГОСТ Р ИСО 15745-4-2010ГОСТ Р ИСО 15745-4-2010ГОСТ Р ИСО 15745-4-2010ГОСТ Р ИСО 15745-4-2010ГОСТ Р ИСО 15745-4-2010ГОСТ Р ИСО 15745-4-2010ГОСТ Р ИСО 15745-4-2010ГОСТ Р ИСО 15745-4-2010ГОСТ Р ИСО 15745-4-2010ГОСТ Р ИСО 15745-4-2010ГОСТ Р ИСО 15745-4-2010ГОСТ Р ИСО 15745-4-2010ГОСТ Р ИСО 15745-4-2010ГОСТ Р ИСО 15745-4-2010ГОСТ Р ИСО 15745-4-2010ГОСТ Р ИСО 15745-4-2010ГОСТ Р ИСО 15745-4-2010ГОСТ Р ИСО 15745-4-2010ГОСТ Р ИСО 15745-4-2010ГОСТ Р ИСО 15745-4-2010ГОСТ Р ИСО 15745-4-2010ГОСТ Р ИСО 15745-4-2010ГОСТ Р ИСО 15745-4-2010
 




ГОСТЫ, СТРОИТЕЛЬНЫЕ и ТЕХНИЧЕСКИЕ НОРМАТИВЫ.
Некоммерческая онлайн система, содержащая все Российские Госты, национальные Стандарты и нормативы.
В Системе содержится более 150000 файлов нормативно-технической документации, действующей на территории РФ.
Система предназначена для широкого круга инженерно-технических специалистов.

Рейтинг@Mail.ru Яндекс цитирования

Copyright © www.gostrf.com, 2008 - 2026