Крупнейшая бесплатная информационно-справочная система онлайн доступа к полному собранию технических нормативно-правовых актов РФ. Огромная база технических нормативов (более 150 тысяч документов) и полное собрание национальных стандартов, аутентичное официальной базе Госстандарта. GOSTRF.com - это более 1 Терабайта бесплатной технической информации для всех пользователей интернета. Все электронные копии представленных здесь документов могут распространяться без каких-либо ограничений. Поощряется распространение информации с этого сайта на любых других ресурсах. Каждый человек имеет право на неограниченный доступ к этим документам! Каждый человек имеет право на знание требований, изложенных в данных нормативно-правовых актах!

  


 

ГОСТ Р ИСО/ТС 10303-1068-2012

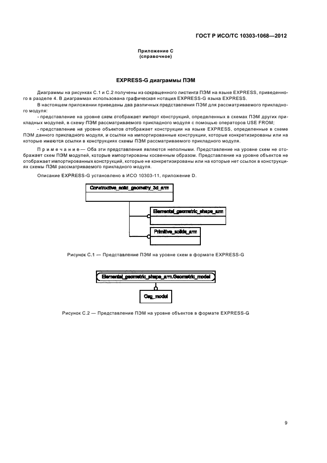
Системы автоматизации производства их интеграция. Представление данных об изделии и обмен этими данными. Часть 1068. Прикладной модуль. Трехмерная конструктивная геометрическая модель

Обозначение:ГОСТ Р ИСО/ТС 10303-1068-2012
Текущий статус документа: действующий
Название документа рус.:Системы автоматизации производства их интеграция. Представление данных об изделии и обмен этими данными. Часть 1068. Прикладной модуль. Трехмерная конструктивная геометрическая модель
Название документа англ.:Industrial automation systems and integration. Product data representation and exchange. Part 1068. Application module. Constructive solid geometry 3D
Дата актуализации текста:01.12.2013
Дата издания:30.09.2013
Дата введения:01.09.2013
Дата последнего изменения:21.11.2013
Область применения:Настоящий стандарт определяет прикладной модуль «Трехмерная конструктивная твердотельная геометрическая модель». В область применения настоящего стандарта входят:
- конструктивная твердотельная геометрическая модель;
- полупространство;
- твердотельный объем, описанный его внешними и внутренними оболочками;
- твердое тело, полученное в результате заметания грани или поверхности вдоль направляющей;
- репликация твердотельной модели с возможностью линейных преобразований;
- положения, относящиеся к области применения прикладного модуля ИСО/TС 10303-1004 «Элементарная геометрическая форма»;
– положения, относящиеся к области применения прикладного модуля ИСО/TС 10303-1791 «Твердотельные примитивы».
В область применения настоящего стандарта не входят:
- объем, заданный тремя параметрами;
- усеченный объем
ГОСТ Р ИСО/ТС 10303-1068-2012ГОСТ Р ИСО/ТС 10303-1068-2012ГОСТ Р ИСО/ТС 10303-1068-2012ГОСТ Р ИСО/ТС 10303-1068-2012ГОСТ Р ИСО/ТС 10303-1068-2012ГОСТ Р ИСО/ТС 10303-1068-2012ГОСТ Р ИСО/ТС 10303-1068-2012ГОСТ Р ИСО/ТС 10303-1068-2012ГОСТ Р ИСО/ТС 10303-1068-2012ГОСТ Р ИСО/ТС 10303-1068-2012ГОСТ Р ИСО/ТС 10303-1068-2012ГОСТ Р ИСО/ТС 10303-1068-2012ГОСТ Р ИСО/ТС 10303-1068-2012ГОСТ Р ИСО/ТС 10303-1068-2012ГОСТ Р ИСО/ТС 10303-1068-2012ГОСТ Р ИСО/ТС 10303-1068-2012ГОСТ Р ИСО/ТС 10303-1068-2012ГОСТ Р ИСО/ТС 10303-1068-2012ГОСТ Р ИСО/ТС 10303-1068-2012ГОСТ Р ИСО/ТС 10303-1068-2012
 




ГОСТЫ, СТРОИТЕЛЬНЫЕ и ТЕХНИЧЕСКИЕ НОРМАТИВЫ.
Некоммерческая онлайн система, содержащая все Российские Госты, национальные Стандарты и нормативы.
В Системе содержится более 150000 файлов нормативно-технической документации, действующей на территории РФ.
Система предназначена для широкого круга инженерно-технических специалистов.

Рейтинг@Mail.ru Яндекс цитирования

Copyright © www.gostrf.com, 2008 - 2026