Крупнейшая бесплатная информационно-справочная система онлайн доступа к полному собранию технических нормативно-правовых актов РФ. Огромная база технических нормативов (более 150 тысяч документов) и полное собрание национальных стандартов, аутентичное официальной базе Госстандарта. GOSTRF.com - это более 1 Терабайта бесплатной технической информации для всех пользователей интернета. Все электронные копии представленных здесь документов могут распространяться без каких-либо ограничений. Поощряется распространение информации с этого сайта на любых других ресурсах. Каждый человек имеет право на неограниченный доступ к этим документам! Каждый человек имеет право на знание требований, изложенных в данных нормативно-правовых актах!

  


 

ГОСТ Р 1.5-2012

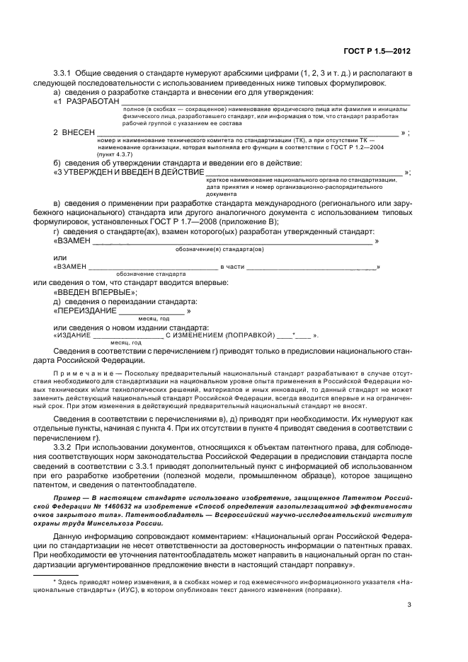
Стандартизация в Российской Федерации. Стандарты национальные. Правила построения, изложения, оформления и обозначения

Обозначение:ГОСТ Р 1.5-2012
Текущий статус документа: действующий
Название документа рус.:Стандартизация в Российской Федерации. Стандарты национальные. Правила построения, изложения, оформления и обозначения
Название документа англ.:Standardization in Russian Federation. National Standards. Rules of structure, drafting, presentation and indication
Дата актуализации текста:01.12.2013
Дата издания:19.08.2013
Дата введения:01.07.2013
Дата последнего изменения:11.09.2013
Область применения:Настоящий стандарт устанавливает правила построения, изложения, оформления и обозначения национальных стандартов Российской Федерации и предварительных национальных стандартов, а также правила оформления и изложения изменений к национальным стандартам Российской Федерации.
В случае разработки национальных стандартов Российской Федерации и предварительных национальных стандартов на основе применения международных и региональных стандартов, а также национальных стандартов других стран настоящий стандарт используют в части, не противоречащей правилам построения, изложения, оформления и обозначения, которые установлены в ГОСТ Р 1.7.
Настоящий стандарт не распространяется на действующие национальные стандарты Российской Федерации и признанные в этом качестве государственные стандарты Российской Федерации Государственные стандарты Российской Федерации признаны национальными стандартами в силу Постановления Госстандарта России от 30 января 2004 г. № 4 «О национальных стандартах Российской Федерации», зарегистрированного Минюстом России в качестве нормативного правого акта 13 февраля 2004 г. (№ 5546), которые были утверждены (приняты) до введения его в действие. Их приведение в соответствие с требованиями настоящего стандарта осуществляют в случае пересмотра данных стандартов по иным причинам, критерии которых установлены в ГОСТ Р 1.2-2004
ГОСТ Р 1.5-2012ГОСТ Р 1.5-2012ГОСТ Р 1.5-2012ГОСТ Р 1.5-2012ГОСТ Р 1.5-2012ГОСТ Р 1.5-2012ГОСТ Р 1.5-2012ГОСТ Р 1.5-2012ГОСТ Р 1.5-2012ГОСТ Р 1.5-2012ГОСТ Р 1.5-2012ГОСТ Р 1.5-2012ГОСТ Р 1.5-2012ГОСТ Р 1.5-2012ГОСТ Р 1.5-2012ГОСТ Р 1.5-2012ГОСТ Р 1.5-2012ГОСТ Р 1.5-2012ГОСТ Р 1.5-2012ГОСТ Р 1.5-2012ГОСТ Р 1.5-2012ГОСТ Р 1.5-2012ГОСТ Р 1.5-2012ГОСТ Р 1.5-2012ГОСТ Р 1.5-2012ГОСТ Р 1.5-2012ГОСТ Р 1.5-2012ГОСТ Р 1.5-2012
 




ГОСТЫ, СТРОИТЕЛЬНЫЕ и ТЕХНИЧЕСКИЕ НОРМАТИВЫ.
Некоммерческая онлайн система, содержащая все Российские Госты, национальные Стандарты и нормативы.
В Системе содержится более 150000 файлов нормативно-технической документации, действующей на территории РФ.
Система предназначена для широкого круга инженерно-технических специалистов.

Рейтинг@Mail.ru Яндекс цитирования

Copyright © www.gostrf.com, 2008 - 2026