Крупнейшая бесплатная информационно-справочная система онлайн доступа к полному собранию технических нормативно-правовых актов РФ. Огромная база технических нормативов (более 150 тысяч документов) и полное собрание национальных стандартов, аутентичное официальной базе Госстандарта. GOSTRF.com - это более 1 Терабайта бесплатной технической информации для всех пользователей интернета. Все электронные копии представленных здесь документов могут распространяться без каких-либо ограничений. Поощряется распространение информации с этого сайта на любых других ресурсах. Каждый человек имеет право на неограниченный доступ к этим документам! Каждый человек имеет право на знание требований, изложенных в данных нормативно-правовых актах!

  


 

ГОСТ 31846-2012

Специальный подвижной состав. Требования к прочности несущих конструкций и динамическим качествам

Обозначение:ГОСТ 31846-2012
Текущий статус документа: принят
Название документа рус.:Специальный подвижной состав. Требования к прочности несущих конструкций и динамическим качествам
Название документа англ.:Special Rolling Stock. Requirements for Bearing Structure Strength and for Dynamic Properties
Дата актуализации текста:01.12.2013
Дата издания:09.09.2013
Дата введения:01.01.2014
Дата последнего изменения:16.10.2013
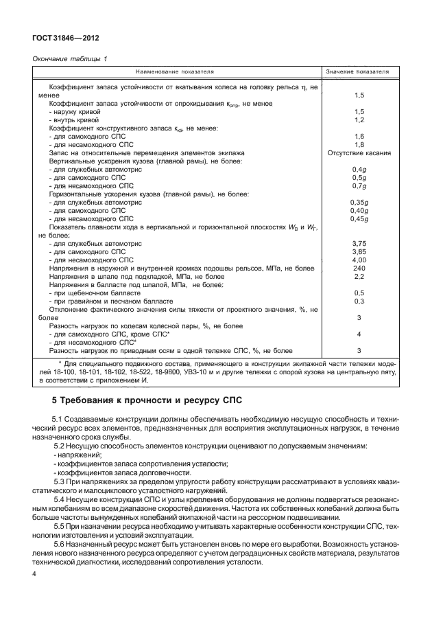
Область применения:Настоящий стандарт устанавливает объем расчетов и испытаний для определения и оценки показателей динамики и прочности специального подвижного состава (далее – СПС), в т. ч. стреловых кранов (далее - КС) на железнодорожном ходу хозяйственного назначения, а также предназначенных для выполнения аварийно-восстановительных работ.
Настоящий стандарт определяет требования для обеспечения необходимых показателей динамики экипажных частей, прочности металлоконструкций главных рам, кузовов, кабин, рам тележек, шкворней, несущих конструкций рабочих органов, элементов рессорного подвешивания, тягового привода, колесных пар (колесных центров, бандажей, осей колесных пар и их соединений), букс, а также деталей крепления и страховки, которые необходимы для надежного соединения и удержания в транспортном положении рабочих органов, предохранения их от выхода за установленные габариты и падения на путь.
Настоящий стандарт не распространяется на составные части КС, находящиеся в ведении технадзора государств, упомянутых в предисловии как проголосовавших за принятие межгосударственного стандарта
ГОСТ 31846-2012ГОСТ 31846-2012ГОСТ 31846-2012ГОСТ 31846-2012ГОСТ 31846-2012ГОСТ 31846-2012ГОСТ 31846-2012ГОСТ 31846-2012ГОСТ 31846-2012ГОСТ 31846-2012ГОСТ 31846-2012ГОСТ 31846-2012ГОСТ 31846-2012ГОСТ 31846-2012ГОСТ 31846-2012ГОСТ 31846-2012ГОСТ 31846-2012ГОСТ 31846-2012ГОСТ 31846-2012ГОСТ 31846-2012ГОСТ 31846-2012ГОСТ 31846-2012ГОСТ 31846-2012ГОСТ 31846-2012ГОСТ 31846-2012ГОСТ 31846-2012ГОСТ 31846-2012ГОСТ 31846-2012ГОСТ 31846-2012ГОСТ 31846-2012ГОСТ 31846-2012ГОСТ 31846-2012ГОСТ 31846-2012ГОСТ 31846-2012ГОСТ 31846-2012ГОСТ 31846-2012ГОСТ 31846-2012ГОСТ 31846-2012ГОСТ 31846-2012ГОСТ 31846-2012ГОСТ 31846-2012ГОСТ 31846-2012ГОСТ 31846-2012ГОСТ 31846-2012ГОСТ 31846-2012ГОСТ 31846-2012ГОСТ 31846-2012ГОСТ 31846-2012ГОСТ 31846-2012ГОСТ 31846-2012ГОСТ 31846-2012ГОСТ 31846-2012ГОСТ 31846-2012ГОСТ 31846-2012ГОСТ 31846-2012ГОСТ 31846-2012ГОСТ 31846-2012ГОСТ 31846-2012ГОСТ 31846-2012ГОСТ 31846-2012ГОСТ 31846-2012ГОСТ 31846-2012ГОСТ 31846-2012ГОСТ 31846-2012ГОСТ 31846-2012ГОСТ 31846-2012ГОСТ 31846-2012ГОСТ 31846-2012ГОСТ 31846-2012ГОСТ 31846-2012ГОСТ 31846-2012
 




ГОСТЫ, СТРОИТЕЛЬНЫЕ и ТЕХНИЧЕСКИЕ НОРМАТИВЫ.
Некоммерческая онлайн система, содержащая все Российские Госты, национальные Стандарты и нормативы.
В Системе содержится более 150000 файлов нормативно-технической документации, действующей на территории РФ.
Система предназначена для широкого круга инженерно-технических специалистов.

Рейтинг@Mail.ru Яндекс цитирования

Copyright © www.gostrf.com, 2008 - 2026