Крупнейшая бесплатная информационно-справочная система онлайн доступа к полному собранию технических нормативно-правовых актов РФ. Огромная база технических нормативов (более 150 тысяч документов) и полное собрание национальных стандартов, аутентичное официальной базе Госстандарта. GOSTRF.com - это более 1 Терабайта бесплатной технической информации для всех пользователей интернета. Все электронные копии представленных здесь документов могут распространяться без каких-либо ограничений. Поощряется распространение информации с этого сайта на любых других ресурсах. Каждый человек имеет право на неограниченный доступ к этим документам! Каждый человек имеет право на знание требований, изложенных в данных нормативно-правовых актах!

  


 

ГОСТ 31832-2012

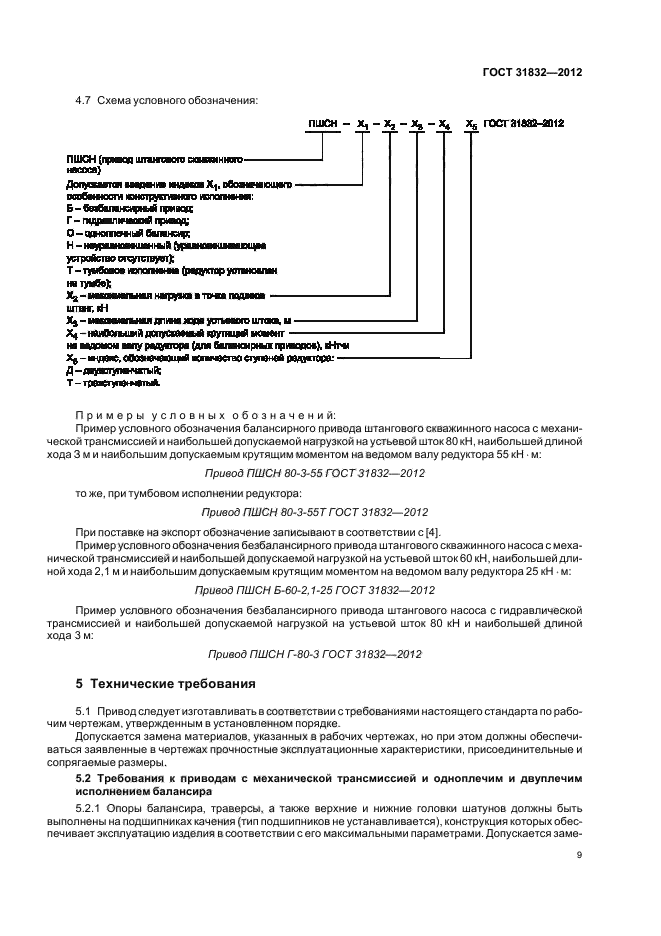
Приводы штанговых скважинных насосов. Общие технические требования

Обозначение:ГОСТ 31832-2012
Текущий статус документа: принят
Название документа рус.:Приводы штанговых скважинных насосов. Общие технические требования
Название документа англ.:Well sucker rod pump drives. General technical requirements
Дата актуализации текста:01.12.2013
Дата издания:21.08.2013
Дата введения:01.01.2014
Дата последнего изменения:11.09.2013
Область применения:Настоящий стандарт распространяется на индивидуальные приводы с грузовым, пневматическим и иными способами уравновешивания, предназначенные для привода штанговых скважинных насосов, в которых используются механические и гидравлические трансмиссии
ГОСТ 31832-2012ГОСТ 31832-2012ГОСТ 31832-2012ГОСТ 31832-2012ГОСТ 31832-2012ГОСТ 31832-2012ГОСТ 31832-2012ГОСТ 31832-2012ГОСТ 31832-2012ГОСТ 31832-2012ГОСТ 31832-2012ГОСТ 31832-2012ГОСТ 31832-2012ГОСТ 31832-2012ГОСТ 31832-2012ГОСТ 31832-2012ГОСТ 31832-2012ГОСТ 31832-2012ГОСТ 31832-2012ГОСТ 31832-2012ГОСТ 31832-2012ГОСТ 31832-2012ГОСТ 31832-2012ГОСТ 31832-2012
 




ГОСТЫ, СТРОИТЕЛЬНЫЕ и ТЕХНИЧЕСКИЕ НОРМАТИВЫ.
Некоммерческая онлайн система, содержащая все Российские Госты, национальные Стандарты и нормативы.
В Системе содержится более 150000 файлов нормативно-технической документации, действующей на территории РФ.
Система предназначена для широкого круга инженерно-технических специалистов.

Рейтинг@Mail.ru Яндекс цитирования

Copyright © www.gostrf.com, 2008 - 2026