Крупнейшая бесплатная информационно-справочная система онлайн доступа к полному собранию технических нормативно-правовых актов РФ. Огромная база технических нормативов (более 150 тысяч документов) и полное собрание национальных стандартов, аутентичное официальной базе Госстандарта. GOSTRF.com - это более 1 Терабайта бесплатной технической информации для всех пользователей интернета. Все электронные копии представленных здесь документов могут распространяться без каких-либо ограничений. Поощряется распространение информации с этого сайта на любых других ресурсах. Каждый человек имеет право на неограниченный доступ к этим документам! Каждый человек имеет право на знание требований, изложенных в данных нормативно-правовых актах!

  


 

ГОСТ ISO 2531-2012

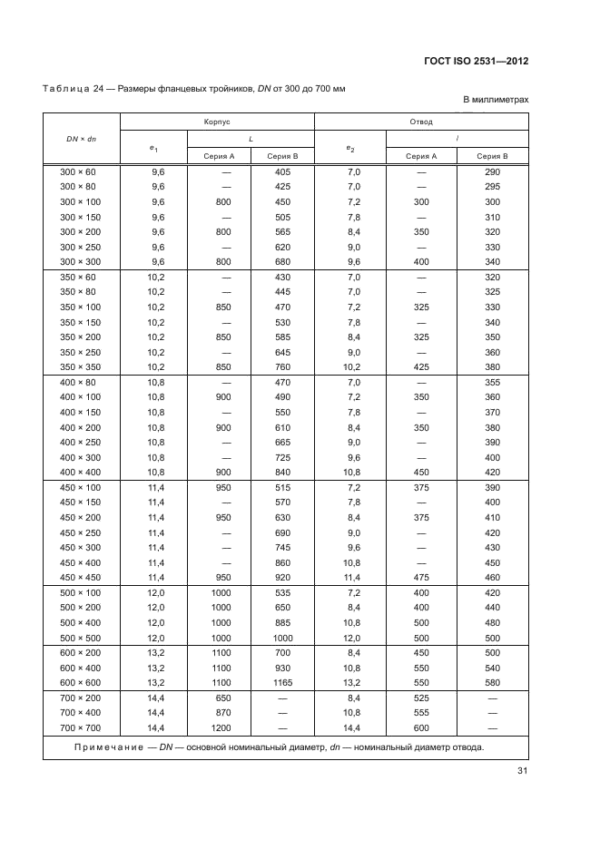
Трубы, фитинги, арматура и их соединения из чугуна с шаровидным графитом для водо- и газоснабжения. Технические условия

Обозначение:ГОСТ ISO 2531-2012
Текущий статус документа: принят
Название документа рус.:Трубы, фитинги, арматура и их соединения из чугуна с шаровидным графитом для водо- и газоснабжения. Технические условия
Название документа англ.:Ductile iron pipes, fittings, accessories and their joints for water or gas applications. Specifications
Дата актуализации текста:01.12.2013
Дата издания:05.09.2013
Дата введения:01.01.2014
Дата последнего изменения:21.11.2013
Область применения:Настоящий стандарт устанавливает требования и методы испытаний труб и соединительных частей из чугуна с шаровидным графитом и их соединений, используемых для изготовления трубопроводов:
- для транспортирования воды (например, питьевой воды) или газа (например, природного газа);
- работающих под давлением или без давления;
- прокладываемых под землей или наземных
ГОСТ ISO 2531-2012ГОСТ ISO 2531-2012ГОСТ ISO 2531-2012ГОСТ ISO 2531-2012ГОСТ ISO 2531-2012ГОСТ ISO 2531-2012ГОСТ ISO 2531-2012ГОСТ ISO 2531-2012ГОСТ ISO 2531-2012ГОСТ ISO 2531-2012ГОСТ ISO 2531-2012ГОСТ ISO 2531-2012ГОСТ ISO 2531-2012ГОСТ ISO 2531-2012ГОСТ ISO 2531-2012ГОСТ ISO 2531-2012ГОСТ ISO 2531-2012ГОСТ ISO 2531-2012ГОСТ ISO 2531-2012ГОСТ ISO 2531-2012ГОСТ ISO 2531-2012ГОСТ ISO 2531-2012ГОСТ ISO 2531-2012ГОСТ ISO 2531-2012ГОСТ ISO 2531-2012ГОСТ ISO 2531-2012ГОСТ ISO 2531-2012ГОСТ ISO 2531-2012ГОСТ ISO 2531-2012ГОСТ ISO 2531-2012ГОСТ ISO 2531-2012ГОСТ ISO 2531-2012ГОСТ ISO 2531-2012ГОСТ ISO 2531-2012ГОСТ ISO 2531-2012ГОСТ ISO 2531-2012ГОСТ ISO 2531-2012ГОСТ ISO 2531-2012ГОСТ ISO 2531-2012ГОСТ ISO 2531-2012ГОСТ ISO 2531-2012ГОСТ ISO 2531-2012ГОСТ ISO 2531-2012ГОСТ ISO 2531-2012ГОСТ ISO 2531-2012ГОСТ ISO 2531-2012
 




ГОСТЫ, СТРОИТЕЛЬНЫЕ и ТЕХНИЧЕСКИЕ НОРМАТИВЫ.
Некоммерческая онлайн система, содержащая все Российские Госты, национальные Стандарты и нормативы.
В Системе содержится более 150000 файлов нормативно-технической документации, действующей на территории РФ.
Система предназначена для широкого круга инженерно-технических специалистов.

Рейтинг@Mail.ru Яндекс цитирования

Copyright © www.gostrf.com, 2008 - 2026