Крупнейшая бесплатная информационно-справочная система онлайн доступа к полному собранию технических нормативно-правовых актов РФ. Огромная база технических нормативов (более 150 тысяч документов) и полное собрание национальных стандартов, аутентичное официальной базе Госстандарта. GOSTRF.com - это более 1 Терабайта бесплатной технической информации для всех пользователей интернета. Все электронные копии представленных здесь документов могут распространяться без каких-либо ограничений. Поощряется распространение информации с этого сайта на любых других ресурсах. Каждый человек имеет право на неограниченный доступ к этим документам! Каждый человек имеет право на знание требований, изложенных в данных нормативно-правовых актах!

  


 

ГОСТ 31543-2012

Машины кузнечно-прессовые. Шумовые характеристики и методы их определения

Обозначение:ГОСТ 31543-2012
Текущий статус документа: действующий
Название документа рус.:Машины кузнечно-прессовые. Шумовые характеристики и методы их определения
Название документа англ.:Metal forging machines. Noise characteristics and methods of their determination
Дата актуализации текста:01.12.2013
Дата издания:22.08.2013
Дата введения:01.03.2013
Дата последнего изменения:21.11.2013
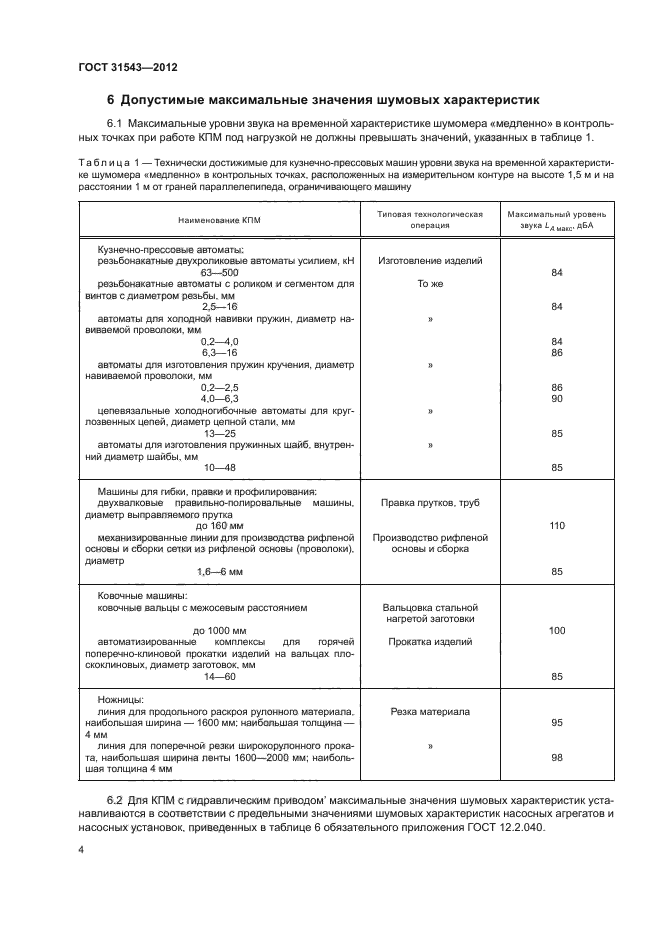
Область применения:Настоящий стандарт распространяется на кузнечно-прессовые машины (КПМ), устанавливает их допустимые уровни шума при работе на холостом ходу и под нагрузкой, методы и условия проведения измерений, требования к защите от шума на рабочих местах и предназначен для целей сертификации данного оборудования
ГОСТ 31543-2012ГОСТ 31543-2012ГОСТ 31543-2012ГОСТ 31543-2012ГОСТ 31543-2012ГОСТ 31543-2012ГОСТ 31543-2012ГОСТ 31543-2012ГОСТ 31543-2012ГОСТ 31543-2012ГОСТ 31543-2012ГОСТ 31543-2012ГОСТ 31543-2012ГОСТ 31543-2012ГОСТ 31543-2012ГОСТ 31543-2012ГОСТ 31543-2012ГОСТ 31543-2012ГОСТ 31543-2012ГОСТ 31543-2012
 




ГОСТЫ, СТРОИТЕЛЬНЫЕ и ТЕХНИЧЕСКИЕ НОРМАТИВЫ.
Некоммерческая онлайн система, содержащая все Российские Госты, национальные Стандарты и нормативы.
В Системе содержится более 150000 файлов нормативно-технической документации, действующей на территории РФ.
Система предназначена для широкого круга инженерно-технических специалистов.

Рейтинг@Mail.ru Яндекс цитирования

Copyright © www.gostrf.com, 2008 - 2026