Крупнейшая бесплатная информационно-справочная система онлайн доступа к полному собранию технических нормативно-правовых актов РФ. Огромная база технических нормативов (более 150 тысяч документов) и полное собрание национальных стандартов, аутентичное официальной базе Госстандарта. GOSTRF.com - это более 1 Терабайта бесплатной технической информации для всех пользователей интернета. Все электронные копии представленных здесь документов могут распространяться без каких-либо ограничений. Поощряется распространение информации с этого сайта на любых других ресурсах. Каждый человек имеет право на неограниченный доступ к этим документам! Каждый человек имеет право на знание требований, изложенных в данных нормативно-правовых актах!

  


 

ГОСТ 31555-2012

Погрузчики строительные фронтальные одноковшовые. Общие технические условия

Обозначение:ГОСТ 31555-2012
Текущий статус документа: принят
Название документа рус.:Погрузчики строительные фронтальные одноковшовые. Общие технические условия
Название документа англ.:Building front-end single-bucket loaders. Specifications
Дата актуализации текста:01.12.2013
Дата издания:07.10.2013
Дата введения:01.01.2014
Дата последнего изменения:22.11.2013
Область применения:Настоящий стандарт распространяется на колесные и гусеничные строительные фронтальные одноковшовые погрузчики с двигателями мощностью не менее 15 кВт (20,4 л. с.) на специальных шасси и специальных погрузочных модификациях промышленных тракторов и тягачей, предназначенные для выполнения погрузоразгрузочных и землеройно-транспортных работ.
Стандарт не распространяется на погрузчики: полуповоротные, перекидные, с телескопической стрелой, шахтные, трюмные, на базе сельскохозяйственных тракторов, тракторов общего назначения, автопогрузчики, малогабаритные погрузчики с бортовой системой поворота
ГОСТ 31555-2012ГОСТ 31555-2012ГОСТ 31555-2012ГОСТ 31555-2012ГОСТ 31555-2012ГОСТ 31555-2012ГОСТ 31555-2012ГОСТ 31555-2012ГОСТ 31555-2012ГОСТ 31555-2012ГОСТ 31555-2012ГОСТ 31555-2012ГОСТ 31555-2012ГОСТ 31555-2012ГОСТ 31555-2012ГОСТ 31555-2012ГОСТ 31555-2012ГОСТ 31555-2012ГОСТ 31555-2012ГОСТ 31555-2012
 




ГОСТЫ, СТРОИТЕЛЬНЫЕ и ТЕХНИЧЕСКИЕ НОРМАТИВЫ.
Некоммерческая онлайн система, содержащая все Российские Госты, национальные Стандарты и нормативы.
В Системе содержится более 150000 файлов нормативно-технической документации, действующей на территории РФ.
Система предназначена для широкого круга инженерно-технических специалистов.

Рейтинг@Mail.ru Яндекс цитирования

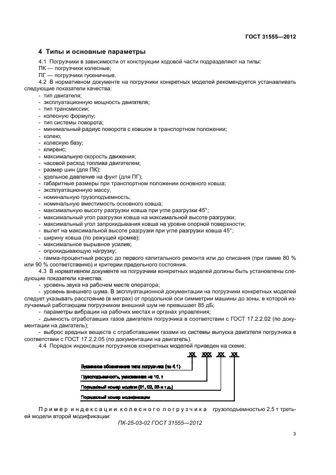
Copyright © www.gostrf.com, 2008 - 2026