Крупнейшая бесплатная информационно-справочная система онлайн доступа к полному собранию технических нормативно-правовых актов РФ. Огромная база технических нормативов (более 150 тысяч документов) и полное собрание национальных стандартов, аутентичное официальной базе Госстандарта. GOSTRF.com - это более 1 Терабайта бесплатной технической информации для всех пользователей интернета. Все электронные копии представленных здесь документов могут распространяться без каких-либо ограничений. Поощряется распространение информации с этого сайта на любых других ресурсах. Каждый человек имеет право на неограниченный доступ к этим документам! Каждый человек имеет право на знание требований, изложенных в данных нормативно-правовых актах!

  


 

ГОСТ 32014-2012

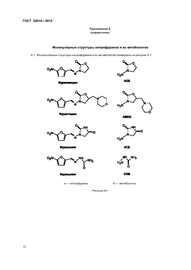
Продукты пищевые, продовольственное сырье. Метод определения остаточного содержания метаболитов нитрофуранов с помощью высокоэффективной жидкостной хроматографии с масс-спектрометрическим детектором

Обозначение:ГОСТ 32014-2012
Текущий статус документа: принят
Название документа рус.:Продукты пищевые, продовольственное сырье. Метод определения остаточного содержания метаболитов нитрофуранов с помощью высокоэффективной жидкостной хроматографии с масс-спектрометрическим детектором
Название документа англ.:Food products, food raw materials. Method of determination of the nitrofuran mytobolites by high performance liquid chromatography - mass spectrometry (HPLC-MS)
Дата актуализации текста:01.12.2013
Дата введения:01.07.2014
Дата последнего изменения:17.10.2013
Область применения:Настоящий стандарт распространяется на молоко, молочные продукты, яйца, яичный порошок, мясо и мясные продукты, включая мясо и продукты из мяса птицы, мед, креветки и устанавливает метод высокоэффективной жидкостной хроматографии с масс-спектрометрическим детектированием для определения остаточного содержания метаболитов нитрофуранов в диапазоне измерений от 1,0 до 1000,0 мкг/кг
ГОСТ 32014-2012ГОСТ 32014-2012ГОСТ 32014-2012ГОСТ 32014-2012ГОСТ 32014-2012ГОСТ 32014-2012ГОСТ 32014-2012ГОСТ 32014-2012ГОСТ 32014-2012ГОСТ 32014-2012ГОСТ 32014-2012ГОСТ 32014-2012ГОСТ 32014-2012ГОСТ 32014-2012ГОСТ 32014-2012ГОСТ 32014-2012ГОСТ 32014-2012ГОСТ 32014-2012ГОСТ 32014-2012ГОСТ 32014-2012
 




ГОСТЫ, СТРОИТЕЛЬНЫЕ и ТЕХНИЧЕСКИЕ НОРМАТИВЫ.
Некоммерческая онлайн система, содержащая все Российские Госты, национальные Стандарты и нормативы.
В Системе содержится более 150000 файлов нормативно-технической документации, действующей на территории РФ.
Система предназначена для широкого круга инженерно-технических специалистов.

Рейтинг@Mail.ru Яндекс цитирования

Copyright © www.gostrf.com, 2008 - 2026