Крупнейшая бесплатная информационно-справочная система онлайн доступа к полному собранию технических нормативно-правовых актов РФ. Огромная база технических нормативов (более 150 тысяч документов) и полное собрание национальных стандартов, аутентичное официальной базе Госстандарта. GOSTRF.com - это более 1 Терабайта бесплатной технической информации для всех пользователей интернета. Все электронные копии представленных здесь документов могут распространяться без каких-либо ограничений. Поощряется распространение информации с этого сайта на любых других ресурсах. Каждый человек имеет право на неограниченный доступ к этим документам! Каждый человек имеет право на знание требований, изложенных в данных нормативно-правовых актах!

  


 

ГОСТ Р 52141-2003

Кетчупы. Общие технические условия

Обозначение:ГОСТ Р 52141-2003
Текущий статус документа: действующий
Название документа рус.:Кетчупы. Общие технические условия
Название документа англ.:Ketchups. General specifications
Дата актуализации текста:01.12.2013
Дата издания:01.07.2008
Дата введения:01.11.2004
Дата последнего изменения:21.11.2013
Дата окончания срока действия:15.02.2015
Переиздание:переиздание
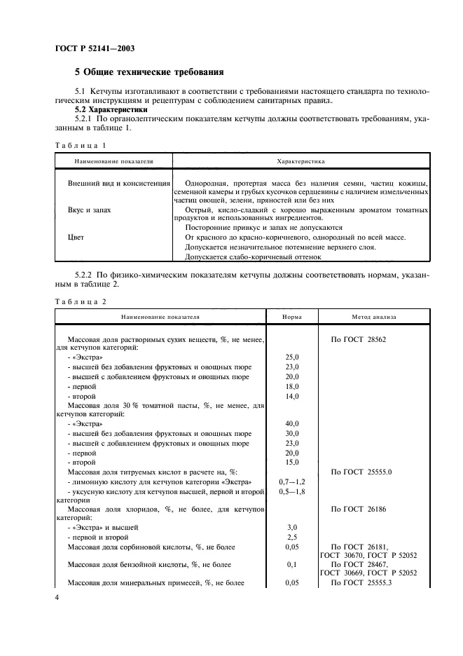
Область применения:Настоящий стандарт распространяется на кетчупы, представляющие собой соусы, изготовленные из свежих томатов или томатных продуктов с добавлением фруктовых и/или овощных полуфабрикатов, различных вкусовых и пряно-ароматических компонентов, загустителей, стабилизаторов, сахарозаменителей, пищевых ароматизаторов и красителей, консервантов или без них, предназначенные для реализации в розничной торговой сети и использования на предприятиях общественного питания
Список изменений:№0 от 15.02.2015 (рег. 28.06.2013) «Текстовое изменение; Изменено заглавие»
ГОСТ Р 52141-2003ГОСТ Р 52141-2003ГОСТ Р 52141-2003ГОСТ Р 52141-2003ГОСТ Р 52141-2003ГОСТ Р 52141-2003ГОСТ Р 52141-2003ГОСТ Р 52141-2003ГОСТ Р 52141-2003ГОСТ Р 52141-2003ГОСТ Р 52141-2003ГОСТ Р 52141-2003ГОСТ Р 52141-2003ГОСТ Р 52141-2003ГОСТ Р 52141-2003
 




ГОСТЫ, СТРОИТЕЛЬНЫЕ и ТЕХНИЧЕСКИЕ НОРМАТИВЫ.
Некоммерческая онлайн система, содержащая все Российские Госты, национальные Стандарты и нормативы.
В Системе содержится более 150000 файлов нормативно-технической документации, действующей на территории РФ.
Система предназначена для широкого круга инженерно-технических специалистов.

Рейтинг@Mail.ru Яндекс цитирования

Copyright © www.gostrf.com, 2008 - 2026