Крупнейшая бесплатная информационно-справочная система онлайн доступа к полному собранию технических нормативно-правовых актов РФ. Огромная база технических нормативов (более 150 тысяч документов) и полное собрание национальных стандартов, аутентичное официальной базе Госстандарта. GOSTRF.com - это более 1 Терабайта бесплатной технической информации для всех пользователей интернета. Все электронные копии представленных здесь документов могут распространяться без каких-либо ограничений. Поощряется распространение информации с этого сайта на любых других ресурсах. Каждый человек имеет право на неограниченный доступ к этим документам! Каждый человек имеет право на знание требований, изложенных в данных нормативно-правовых актах!

  


 

ГОСТ Р ИСО/ТС 14798-2003

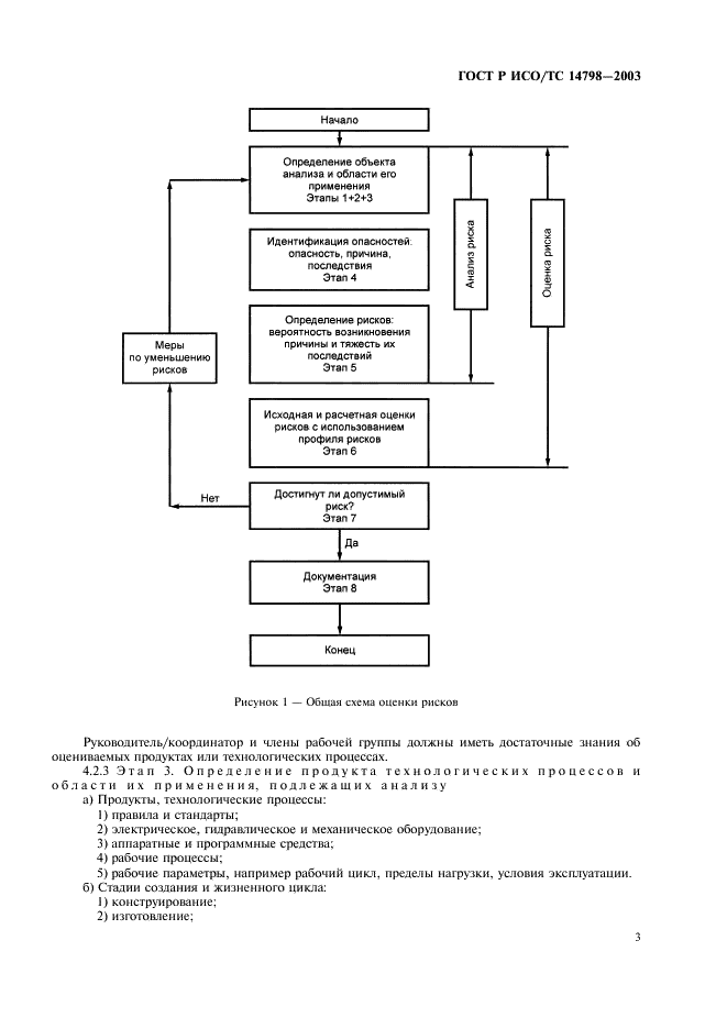
Лифты, эскалаторы и пассажирские конвейеры. Методология анализа риска

Обозначение:ГОСТ Р ИСО/ТС 14798-2003
Текущий статус документа: заменён
Название документа рус.:Лифты, эскалаторы и пассажирские конвейеры. Методология анализа риска
Название документа англ.:Lifts (elevators), escalators and passenger conveyors. Risk analysis methodology
Дата актуализации текста:01.12.2013
Дата издания:29.10.2003
Дата введения:01.01.2004
Дата последнего изменения:22.05.2013
Дата окончания срока действия:01.07.2010
Область применения:Настоящий стандарт устанавливает требования и процедуры по оценке рисков для лифтов, эскалаторов и пассажирских конвейеров.
Стандарт предназначен для использования экспертами по промышленной безопасности, подготовленными в области методологии оценки рисков при определении безопасности работы оборудования и разработке требований безопасности в правилах и стандартах
ГОСТ Р ИСО/ТС 14798-2003ГОСТ Р ИСО/ТС 14798-2003ГОСТ Р ИСО/ТС 14798-2003ГОСТ Р ИСО/ТС 14798-2003ГОСТ Р ИСО/ТС 14798-2003ГОСТ Р ИСО/ТС 14798-2003ГОСТ Р ИСО/ТС 14798-2003ГОСТ Р ИСО/ТС 14798-2003ГОСТ Р ИСО/ТС 14798-2003ГОСТ Р ИСО/ТС 14798-2003ГОСТ Р ИСО/ТС 14798-2003ГОСТ Р ИСО/ТС 14798-2003ГОСТ Р ИСО/ТС 14798-2003ГОСТ Р ИСО/ТС 14798-2003ГОСТ Р ИСО/ТС 14798-2003ГОСТ Р ИСО/ТС 14798-2003ГОСТ Р ИСО/ТС 14798-2003ГОСТ Р ИСО/ТС 14798-2003ГОСТ Р ИСО/ТС 14798-2003
 




ГОСТЫ, СТРОИТЕЛЬНЫЕ и ТЕХНИЧЕСКИЕ НОРМАТИВЫ.
Некоммерческая онлайн система, содержащая все Российские Госты, национальные Стандарты и нормативы.
В Системе содержится более 150000 файлов нормативно-технической документации, действующей на территории РФ.
Система предназначена для широкого круга инженерно-технических специалистов.

Рейтинг@Mail.ru Яндекс цитирования

Copyright © www.gostrf.com, 2008 - 2026