Крупнейшая бесплатная информационно-справочная система онлайн доступа к полному собранию технических нормативно-правовых актов РФ. Огромная база технических нормативов (более 150 тысяч документов) и полное собрание национальных стандартов, аутентичное официальной базе Госстандарта. GOSTRF.com - это более 1 Терабайта бесплатной технической информации для всех пользователей интернета. Все электронные копии представленных здесь документов могут распространяться без каких-либо ограничений. Поощряется распространение информации с этого сайта на любых других ресурсах. Каждый человек имеет право на неограниченный доступ к этим документам! Каждый человек имеет право на знание требований, изложенных в данных нормативно-правовых актах!

  


 

ГОСТ Р ИСО/МЭК 15408-2-2002

Информационная технология. Методы и средства обеспечения безопасности. Критерии оценки безопасности информационных технологий. Часть 2. Функциональные требования безопасности

Обозначение:ГОСТ Р ИСО/МЭК 15408-2-2002
Текущий статус документа: заменён
Название документа рус.:Информационная технология. Методы и средства обеспечения безопасности. Критерии оценки безопасности информационных технологий. Часть 2. Функциональные требования безопасности
Название документа англ.:Information technology. Security techniques. Evaluation criteria for IT security. Part 2. Security functional requirements
Дата актуализации текста:01.12.2013
Дата издания:10.09.2002
Дата введения:01.01.2004
Дата последнего изменения:22.05.2013
Дата окончания срока действия:01.10.2009
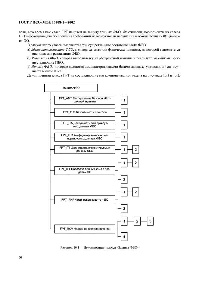
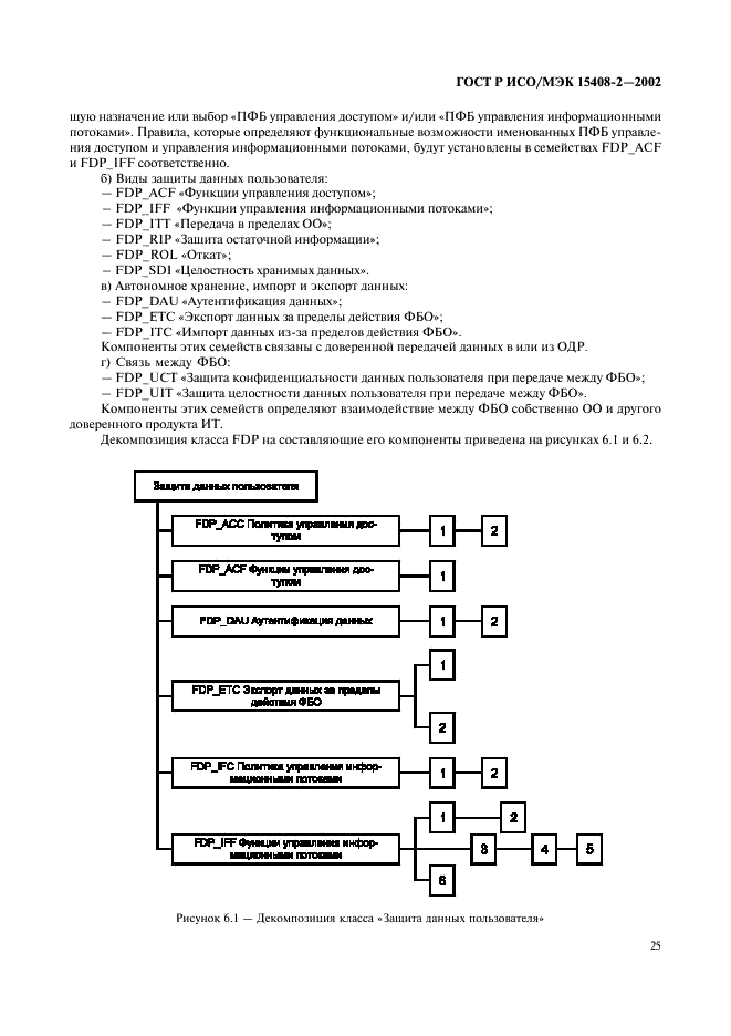
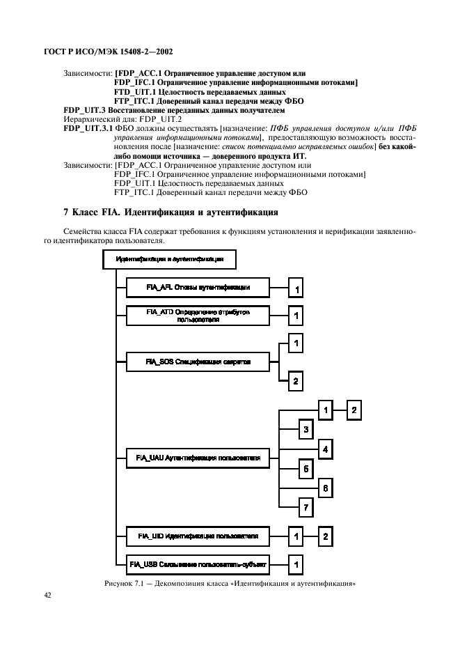
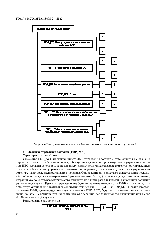
Область применения:Настоящий стандарт распространяется на функциональные компоненты безопасности, являющиеся основой для функциональных требований безопасности информационных технологий (ИТ) объекта оценки (ОО), излагаемых в профиле защиты (ПЗ) или в задании по безопасности (ЗБ). Требования описывают желательный безопасный режим функционирования ОО и предназначены для достижения целей безопасности, установленных в ПЗ или ЗБ. Требования описывают также свойства безопасности, которые пользователи могут обнаружить при непосредственном взаимодействии с ОО (т.е. при входе и выходе) или при реакции ОО на запросы
ГОСТ Р ИСО/МЭК 15408-2-2002ГОСТ Р ИСО/МЭК 15408-2-2002ГОСТ Р ИСО/МЭК 15408-2-2002ГОСТ Р ИСО/МЭК 15408-2-2002ГОСТ Р ИСО/МЭК 15408-2-2002ГОСТ Р ИСО/МЭК 15408-2-2002ГОСТ Р ИСО/МЭК 15408-2-2002ГОСТ Р ИСО/МЭК 15408-2-2002ГОСТ Р ИСО/МЭК 15408-2-2002ГОСТ Р ИСО/МЭК 15408-2-2002ГОСТ Р ИСО/МЭК 15408-2-2002ГОСТ Р ИСО/МЭК 15408-2-2002ГОСТ Р ИСО/МЭК 15408-2-2002ГОСТ Р ИСО/МЭК 15408-2-2002ГОСТ Р ИСО/МЭК 15408-2-2002ГОСТ Р ИСО/МЭК 15408-2-2002ГОСТ Р ИСО/МЭК 15408-2-2002ГОСТ Р ИСО/МЭК 15408-2-2002ГОСТ Р ИСО/МЭК 15408-2-2002ГОСТ Р ИСО/МЭК 15408-2-2002ГОСТ Р ИСО/МЭК 15408-2-2002ГОСТ Р ИСО/МЭК 15408-2-2002ГОСТ Р ИСО/МЭК 15408-2-2002ГОСТ Р ИСО/МЭК 15408-2-2002ГОСТ Р ИСО/МЭК 15408-2-2002ГОСТ Р ИСО/МЭК 15408-2-2002ГОСТ Р ИСО/МЭК 15408-2-2002ГОСТ Р ИСО/МЭК 15408-2-2002ГОСТ Р ИСО/МЭК 15408-2-2002ГОСТ Р ИСО/МЭК 15408-2-2002ГОСТ Р ИСО/МЭК 15408-2-2002ГОСТ Р ИСО/МЭК 15408-2-2002ГОСТ Р ИСО/МЭК 15408-2-2002ГОСТ Р ИСО/МЭК 15408-2-2002ГОСТ Р ИСО/МЭК 15408-2-2002ГОСТ Р ИСО/МЭК 15408-2-2002ГОСТ Р ИСО/МЭК 15408-2-2002ГОСТ Р ИСО/МЭК 15408-2-2002ГОСТ Р ИСО/МЭК 15408-2-2002ГОСТ Р ИСО/МЭК 15408-2-2002ГОСТ Р ИСО/МЭК 15408-2-2002ГОСТ Р ИСО/МЭК 15408-2-2002ГОСТ Р ИСО/МЭК 15408-2-2002ГОСТ Р ИСО/МЭК 15408-2-2002ГОСТ Р ИСО/МЭК 15408-2-2002ГОСТ Р ИСО/МЭК 15408-2-2002ГОСТ Р ИСО/МЭК 15408-2-2002ГОСТ Р ИСО/МЭК 15408-2-2002ГОСТ Р ИСО/МЭК 15408-2-2002ГОСТ Р ИСО/МЭК 15408-2-2002ГОСТ Р ИСО/МЭК 15408-2-2002ГОСТ Р ИСО/МЭК 15408-2-2002ГОСТ Р ИСО/МЭК 15408-2-2002ГОСТ Р ИСО/МЭК 15408-2-2002ГОСТ Р ИСО/МЭК 15408-2-2002ГОСТ Р ИСО/МЭК 15408-2-2002ГОСТ Р ИСО/МЭК 15408-2-2002ГОСТ Р ИСО/МЭК 15408-2-2002ГОСТ Р ИСО/МЭК 15408-2-2002ГОСТ Р ИСО/МЭК 15408-2-2002ГОСТ Р ИСО/МЭК 15408-2-2002ГОСТ Р ИСО/МЭК 15408-2-2002ГОСТ Р ИСО/МЭК 15408-2-2002ГОСТ Р ИСО/МЭК 15408-2-2002ГОСТ Р ИСО/МЭК 15408-2-2002ГОСТ Р ИСО/МЭК 15408-2-2002ГОСТ Р ИСО/МЭК 15408-2-2002ГОСТ Р ИСО/МЭК 15408-2-2002ГОСТ Р ИСО/МЭК 15408-2-2002ГОСТ Р ИСО/МЭК 15408-2-2002ГОСТ Р ИСО/МЭК 15408-2-2002ГОСТ Р ИСО/МЭК 15408-2-2002ГОСТ Р ИСО/МЭК 15408-2-2002ГОСТ Р ИСО/МЭК 15408-2-2002ГОСТ Р ИСО/МЭК 15408-2-2002ГОСТ Р ИСО/МЭК 15408-2-2002ГОСТ Р ИСО/МЭК 15408-2-2002ГОСТ Р ИСО/МЭК 15408-2-2002ГОСТ Р ИСО/МЭК 15408-2-2002ГОСТ Р ИСО/МЭК 15408-2-2002ГОСТ Р ИСО/МЭК 15408-2-2002ГОСТ Р ИСО/МЭК 15408-2-2002ГОСТ Р ИСО/МЭК 15408-2-2002ГОСТ Р ИСО/МЭК 15408-2-2002ГОСТ Р ИСО/МЭК 15408-2-2002ГОСТ Р ИСО/МЭК 15408-2-2002ГОСТ Р ИСО/МЭК 15408-2-2002ГОСТ Р ИСО/МЭК 15408-2-2002ГОСТ Р ИСО/МЭК 15408-2-2002ГОСТ Р ИСО/МЭК 15408-2-2002ГОСТ Р ИСО/МЭК 15408-2-2002ГОСТ Р ИСО/МЭК 15408-2-2002ГОСТ Р ИСО/МЭК 15408-2-2002ГОСТ Р ИСО/МЭК 15408-2-2002ГОСТ Р ИСО/МЭК 15408-2-2002ГОСТ Р ИСО/МЭК 15408-2-2002ГОСТ Р ИСО/МЭК 15408-2-2002ГОСТ Р ИСО/МЭК 15408-2-2002ГОСТ Р ИСО/МЭК 15408-2-2002ГОСТ Р ИСО/МЭК 15408-2-2002ГОСТ Р ИСО/МЭК 15408-2-2002ГОСТ Р ИСО/МЭК 15408-2-2002ГОСТ Р ИСО/МЭК 15408-2-2002ГОСТ Р ИСО/МЭК 15408-2-2002ГОСТ Р ИСО/МЭК 15408-2-2002ГОСТ Р ИСО/МЭК 15408-2-2002ГОСТ Р ИСО/МЭК 15408-2-2002ГОСТ Р ИСО/МЭК 15408-2-2002ГОСТ Р ИСО/МЭК 15408-2-2002ГОСТ Р ИСО/МЭК 15408-2-2002ГОСТ Р ИСО/МЭК 15408-2-2002ГОСТ Р ИСО/МЭК 15408-2-2002ГОСТ Р ИСО/МЭК 15408-2-2002ГОСТ Р ИСО/МЭК 15408-2-2002ГОСТ Р ИСО/МЭК 15408-2-2002ГОСТ Р ИСО/МЭК 15408-2-2002ГОСТ Р ИСО/МЭК 15408-2-2002ГОСТ Р ИСО/МЭК 15408-2-2002ГОСТ Р ИСО/МЭК 15408-2-2002ГОСТ Р ИСО/МЭК 15408-2-2002ГОСТ Р ИСО/МЭК 15408-2-2002ГОСТ Р ИСО/МЭК 15408-2-2002ГОСТ Р ИСО/МЭК 15408-2-2002ГОСТ Р ИСО/МЭК 15408-2-2002ГОСТ Р ИСО/МЭК 15408-2-2002ГОСТ Р ИСО/МЭК 15408-2-2002ГОСТ Р ИСО/МЭК 15408-2-2002ГОСТ Р ИСО/МЭК 15408-2-2002ГОСТ Р ИСО/МЭК 15408-2-2002ГОСТ Р ИСО/МЭК 15408-2-2002ГОСТ Р ИСО/МЭК 15408-2-2002ГОСТ Р ИСО/МЭК 15408-2-2002ГОСТ Р ИСО/МЭК 15408-2-2002ГОСТ Р ИСО/МЭК 15408-2-2002ГОСТ Р ИСО/МЭК 15408-2-2002ГОСТ Р ИСО/МЭК 15408-2-2002ГОСТ Р ИСО/МЭК 15408-2-2002ГОСТ Р ИСО/МЭК 15408-2-2002ГОСТ Р ИСО/МЭК 15408-2-2002ГОСТ Р ИСО/МЭК 15408-2-2002ГОСТ Р ИСО/МЭК 15408-2-2002ГОСТ Р ИСО/МЭК 15408-2-2002ГОСТ Р ИСО/МЭК 15408-2-2002ГОСТ Р ИСО/МЭК 15408-2-2002ГОСТ Р ИСО/МЭК 15408-2-2002ГОСТ Р ИСО/МЭК 15408-2-2002ГОСТ Р ИСО/МЭК 15408-2-2002ГОСТ Р ИСО/МЭК 15408-2-2002ГОСТ Р ИСО/МЭК 15408-2-2002ГОСТ Р ИСО/МЭК 15408-2-2002ГОСТ Р ИСО/МЭК 15408-2-2002ГОСТ Р ИСО/МЭК 15408-2-2002ГОСТ Р ИСО/МЭК 15408-2-2002ГОСТ Р ИСО/МЭК 15408-2-2002ГОСТ Р ИСО/МЭК 15408-2-2002ГОСТ Р ИСО/МЭК 15408-2-2002ГОСТ Р ИСО/МЭК 15408-2-2002ГОСТ Р ИСО/МЭК 15408-2-2002ГОСТ Р ИСО/МЭК 15408-2-2002ГОСТ Р ИСО/МЭК 15408-2-2002ГОСТ Р ИСО/МЭК 15408-2-2002ГОСТ Р ИСО/МЭК 15408-2-2002ГОСТ Р ИСО/МЭК 15408-2-2002ГОСТ Р ИСО/МЭК 15408-2-2002ГОСТ Р ИСО/МЭК 15408-2-2002ГОСТ Р ИСО/МЭК 15408-2-2002
 




ГОСТЫ, СТРОИТЕЛЬНЫЕ и ТЕХНИЧЕСКИЕ НОРМАТИВЫ.
Некоммерческая онлайн система, содержащая все Российские Госты, национальные Стандарты и нормативы.
В Системе содержится более 150000 файлов нормативно-технической документации, действующей на территории РФ.
Система предназначена для широкого круга инженерно-технических специалистов.

Рейтинг@Mail.ru Яндекс цитирования

Copyright © www.gostrf.com, 2008 - 2026