Крупнейшая бесплатная информационно-справочная система онлайн доступа к полному собранию технических нормативно-правовых актов РФ. Огромная база технических нормативов (более 150 тысяч документов) и полное собрание национальных стандартов, аутентичное официальной базе Госстандарта. GOSTRF.com - это более 1 Терабайта бесплатной технической информации для всех пользователей интернета. Все электронные копии представленных здесь документов могут распространяться без каких-либо ограничений. Поощряется распространение информации с этого сайта на любых других ресурсах. Каждый человек имеет право на неограниченный доступ к этим документам! Каждый человек имеет право на знание требований, изложенных в данных нормативно-правовых актах!

  


 

ГОСТ Р 51294.9-2002

Автоматическая идентификация. Кодирование штриховое. Спецификации символики PDF417 (ПДФ417)

Обозначение:ГОСТ Р 51294.9-2002
Текущий статус документа: действующий
Название документа рус.:Автоматическая идентификация. Кодирование штриховое. Спецификации символики PDF417 (ПДФ417)
Название документа англ.:Automatic identification. Bar coding. Symbology specifications PDF417
Дата актуализации текста:01.12.2013
Дата издания:18.11.2002
Дата введения:01.01.2003
Дата последнего изменения:22.05.2013
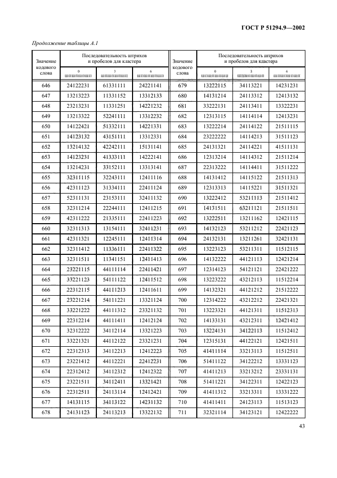
Область применения:Настоящий стандарт устанавливает:
- требования к символике штрихового кода PDF417;
- показатели символики PDF417, кодирование знаков данных, форматы символов, размеры, правила коррекции ошибки, алгоритм декодирования и совокупность параметров применения
ГОСТ Р 51294.9-2002ГОСТ Р 51294.9-2002ГОСТ Р 51294.9-2002ГОСТ Р 51294.9-2002ГОСТ Р 51294.9-2002ГОСТ Р 51294.9-2002ГОСТ Р 51294.9-2002ГОСТ Р 51294.9-2002ГОСТ Р 51294.9-2002ГОСТ Р 51294.9-2002ГОСТ Р 51294.9-2002ГОСТ Р 51294.9-2002ГОСТ Р 51294.9-2002ГОСТ Р 51294.9-2002ГОСТ Р 51294.9-2002ГОСТ Р 51294.9-2002ГОСТ Р 51294.9-2002ГОСТ Р 51294.9-2002ГОСТ Р 51294.9-2002ГОСТ Р 51294.9-2002ГОСТ Р 51294.9-2002ГОСТ Р 51294.9-2002ГОСТ Р 51294.9-2002ГОСТ Р 51294.9-2002ГОСТ Р 51294.9-2002ГОСТ Р 51294.9-2002ГОСТ Р 51294.9-2002ГОСТ Р 51294.9-2002ГОСТ Р 51294.9-2002ГОСТ Р 51294.9-2002ГОСТ Р 51294.9-2002ГОСТ Р 51294.9-2002ГОСТ Р 51294.9-2002ГОСТ Р 51294.9-2002ГОСТ Р 51294.9-2002ГОСТ Р 51294.9-2002ГОСТ Р 51294.9-2002ГОСТ Р 51294.9-2002ГОСТ Р 51294.9-2002ГОСТ Р 51294.9-2002ГОСТ Р 51294.9-2002ГОСТ Р 51294.9-2002ГОСТ Р 51294.9-2002ГОСТ Р 51294.9-2002ГОСТ Р 51294.9-2002ГОСТ Р 51294.9-2002ГОСТ Р 51294.9-2002ГОСТ Р 51294.9-2002ГОСТ Р 51294.9-2002ГОСТ Р 51294.9-2002ГОСТ Р 51294.9-2002ГОСТ Р 51294.9-2002ГОСТ Р 51294.9-2002ГОСТ Р 51294.9-2002ГОСТ Р 51294.9-2002ГОСТ Р 51294.9-2002ГОСТ Р 51294.9-2002ГОСТ Р 51294.9-2002ГОСТ Р 51294.9-2002ГОСТ Р 51294.9-2002ГОСТ Р 51294.9-2002ГОСТ Р 51294.9-2002ГОСТ Р 51294.9-2002ГОСТ Р 51294.9-2002ГОСТ Р 51294.9-2002ГОСТ Р 51294.9-2002ГОСТ Р 51294.9-2002ГОСТ Р 51294.9-2002ГОСТ Р 51294.9-2002ГОСТ Р 51294.9-2002ГОСТ Р 51294.9-2002ГОСТ Р 51294.9-2002ГОСТ Р 51294.9-2002ГОСТ Р 51294.9-2002ГОСТ Р 51294.9-2002ГОСТ Р 51294.9-2002ГОСТ Р 51294.9-2002ГОСТ Р 51294.9-2002ГОСТ Р 51294.9-2002ГОСТ Р 51294.9-2002ГОСТ Р 51294.9-2002ГОСТ Р 51294.9-2002ГОСТ Р 51294.9-2002ГОСТ Р 51294.9-2002ГОСТ Р 51294.9-2002ГОСТ Р 51294.9-2002ГОСТ Р 51294.9-2002ГОСТ Р 51294.9-2002ГОСТ Р 51294.9-2002ГОСТ Р 51294.9-2002ГОСТ Р 51294.9-2002ГОСТ Р 51294.9-2002ГОСТ Р 51294.9-2002ГОСТ Р 51294.9-2002
 




ГОСТЫ, СТРОИТЕЛЬНЫЕ и ТЕХНИЧЕСКИЕ НОРМАТИВЫ.
Некоммерческая онлайн система, содержащая все Российские Госты, национальные Стандарты и нормативы.
В Системе содержится более 150000 файлов нормативно-технической документации, действующей на территории РФ.
Система предназначена для широкого круга инженерно-технических специалистов.

Рейтинг@Mail.ru Яндекс цитирования

Copyright © www.gostrf.com, 2008 - 2026