Крупнейшая бесплатная информационно-справочная система онлайн доступа к полному собранию технических нормативно-правовых актов РФ. Огромная база технических нормативов (более 150 тысяч документов) и полное собрание национальных стандартов, аутентичное официальной базе Госстандарта. GOSTRF.com - это более 1 Терабайта бесплатной технической информации для всех пользователей интернета. Все электронные копии представленных здесь документов могут распространяться без каких-либо ограничений. Поощряется распространение информации с этого сайта на любых других ресурсах. Каждый человек имеет право на неограниченный доступ к этим документам! Каждый человек имеет право на знание требований, изложенных в данных нормативно-правовых актах!

  


 

ГОСТ Р ИСО 10303-44-2002

Системы автоматизации производства и их интеграция. Представление данных об изделии и обмен этими данными. Часть 44. Интегрированные обобщенные ресурсы. Конфигурация структуры изделия

Обозначение:ГОСТ Р ИСО 10303-44-2002
Текущий статус документа: действующий
Название документа рус.:Системы автоматизации производства и их интеграция. Представление данных об изделии и обмен этими данными. Часть 44. Интегрированные обобщенные ресурсы. Конфигурация структуры изделия
Название документа англ.:Industrial automation systems and integration. Product data representation and exchange. Part 44. Integrated generic resources. Product structure configuration
Дата актуализации текста:01.12.2013
Дата издания:11.03.2003
Дата введения:01.07.2003
Дата последнего изменения:22.05.2013
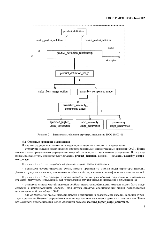
Область применения:Настоящий стандарт устанавливает конструкции ресурсов для управления структурой и конфигурацией изделия во время его жизненного цикла.
Настоящий стандарт определяет:
- отношения между комплектующими и сборочными единицами (узлами) изделий;
- отношения между изделиями и их комплектующими, получаемыми в результате изменений других изделий;
- описание изделия в соответствии с требованиями потребителя;
- зависимости между техническими требованиями (спецификациями) к изделию для представления потребителю возможных вариантов изделия;
- управление структурой конфигурации сборочных единиц и комплектующих, запланированной для производства;
- декомпозицию изделия для обеспечения различных работ в жизненном цикле изделия;
- множество вариантов одного изделия, эквивалентных по форме, монтажу и функциональному назначению.
Настоящий стандарт не определяет:
- отношения между различными описаниями одного изделия;
- административные работы в жизненном цикле изделия, связанные с приемкой, классификацией уровня доступа (грифа секретности), договорными соглашениями и организациями-поставщиками;
- процесс внесения изменения в изделия, включая обоснование изменения и вид изменения;
- решения, принимаемые в жизненном цикле изделия, и их обоснования;
- физические соединения между комплектующими изделия;
- свойства, которые может иметь составная часть изделия;
- множество вариантов одного изделия, не эквивалентных по форме, монтажу и функциональному назначению
ГОСТ Р ИСО 10303-44-2002ГОСТ Р ИСО 10303-44-2002ГОСТ Р ИСО 10303-44-2002ГОСТ Р ИСО 10303-44-2002ГОСТ Р ИСО 10303-44-2002ГОСТ Р ИСО 10303-44-2002ГОСТ Р ИСО 10303-44-2002ГОСТ Р ИСО 10303-44-2002ГОСТ Р ИСО 10303-44-2002ГОСТ Р ИСО 10303-44-2002ГОСТ Р ИСО 10303-44-2002ГОСТ Р ИСО 10303-44-2002ГОСТ Р ИСО 10303-44-2002ГОСТ Р ИСО 10303-44-2002ГОСТ Р ИСО 10303-44-2002ГОСТ Р ИСО 10303-44-2002ГОСТ Р ИСО 10303-44-2002ГОСТ Р ИСО 10303-44-2002ГОСТ Р ИСО 10303-44-2002ГОСТ Р ИСО 10303-44-2002ГОСТ Р ИСО 10303-44-2002ГОСТ Р ИСО 10303-44-2002ГОСТ Р ИСО 10303-44-2002ГОСТ Р ИСО 10303-44-2002ГОСТ Р ИСО 10303-44-2002ГОСТ Р ИСО 10303-44-2002ГОСТ Р ИСО 10303-44-2002ГОСТ Р ИСО 10303-44-2002ГОСТ Р ИСО 10303-44-2002ГОСТ Р ИСО 10303-44-2002ГОСТ Р ИСО 10303-44-2002ГОСТ Р ИСО 10303-44-2002ГОСТ Р ИСО 10303-44-2002ГОСТ Р ИСО 10303-44-2002ГОСТ Р ИСО 10303-44-2002ГОСТ Р ИСО 10303-44-2002ГОСТ Р ИСО 10303-44-2002ГОСТ Р ИСО 10303-44-2002ГОСТ Р ИСО 10303-44-2002ГОСТ Р ИСО 10303-44-2002ГОСТ Р ИСО 10303-44-2002ГОСТ Р ИСО 10303-44-2002ГОСТ Р ИСО 10303-44-2002ГОСТ Р ИСО 10303-44-2002ГОСТ Р ИСО 10303-44-2002ГОСТ Р ИСО 10303-44-2002ГОСТ Р ИСО 10303-44-2002ГОСТ Р ИСО 10303-44-2002ГОСТ Р ИСО 10303-44-2002ГОСТ Р ИСО 10303-44-2002ГОСТ Р ИСО 10303-44-2002ГОСТ Р ИСО 10303-44-2002ГОСТ Р ИСО 10303-44-2002ГОСТ Р ИСО 10303-44-2002
 




ГОСТЫ, СТРОИТЕЛЬНЫЕ и ТЕХНИЧЕСКИЕ НОРМАТИВЫ.
Некоммерческая онлайн система, содержащая все Российские Госты, национальные Стандарты и нормативы.
В Системе содержится более 150000 файлов нормативно-технической документации, действующей на территории РФ.
Система предназначена для широкого круга инженерно-технических специалистов.

Рейтинг@Mail.ru Яндекс цитирования

Copyright © www.gostrf.com, 2008 - 2026