Крупнейшая бесплатная информационно-справочная система онлайн доступа к полному собранию технических нормативно-правовых актов РФ. Огромная база технических нормативов (более 150 тысяч документов) и полное собрание национальных стандартов, аутентичное официальной базе Госстандарта. GOSTRF.com - это более 1 Терабайта бесплатной технической информации для всех пользователей интернета. Все электронные копии представленных здесь документов могут распространяться без каких-либо ограничений. Поощряется распространение информации с этого сайта на любых других ресурсах. Каждый человек имеет право на неограниченный доступ к этим документам! Каждый человек имеет право на знание требований, изложенных в данных нормативно-правовых актах!

  


 

ГОСТ ИСО/ТО 12100-1-2001

Безопасность оборудования. Основные понятия, общие принципы конструирования. Часть 1. Основные термины, методика

Обозначение:ГОСТ ИСО/ТО 12100-1-2001
Текущий статус документа: утратил силу в РФ
Название документа рус.:Безопасность оборудования. Основные понятия, общие принципы конструирования. Часть 1. Основные термины, методика
Название документа англ.:Safety of machinery. Basic concepts, general principles for design. Part 1. Basic terms, procedure
Дата актуализации текста:01.12.2013
Дата издания:01.06.2004
Дата введения:01.07.2003
Дата последнего изменения:22.05.2013
Дата окончания срока действия:01.07.2008
Переиздание:переиздание с поправкой
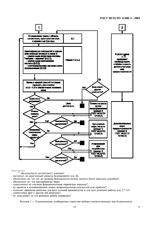
Область применения:Настоящий стандарт устанавливает основные термины и определения понятий в области безопасности оборудования и общие принципы конструирования, позволяющие разработчикам и изготовителям достичь безопасности оборудования производственного и непроизводственного назначения
Список изменений:№0 от 01.11.2002 (рег. 01.11.2002) «Дата введения перенесена»
№0 от 01.07.2008 (рег. 27.12.2007) «Поправка к изменению»
Приложение №1:Поправка к ГОСТ ИСО/ТО 12100-1-2001
ГОСТ ИСО/ТО 12100-1-2001ГОСТ ИСО/ТО 12100-1-2001ГОСТ ИСО/ТО 12100-1-2001ГОСТ ИСО/ТО 12100-1-2001ГОСТ ИСО/ТО 12100-1-2001ГОСТ ИСО/ТО 12100-1-2001ГОСТ ИСО/ТО 12100-1-2001ГОСТ ИСО/ТО 12100-1-2001ГОСТ ИСО/ТО 12100-1-2001ГОСТ ИСО/ТО 12100-1-2001ГОСТ ИСО/ТО 12100-1-2001ГОСТ ИСО/ТО 12100-1-2001ГОСТ ИСО/ТО 12100-1-2001ГОСТ ИСО/ТО 12100-1-2001ГОСТ ИСО/ТО 12100-1-2001ГОСТ ИСО/ТО 12100-1-2001ГОСТ ИСО/ТО 12100-1-2001ГОСТ ИСО/ТО 12100-1-2001ГОСТ ИСО/ТО 12100-1-2001ГОСТ ИСО/ТО 12100-1-2001ГОСТ ИСО/ТО 12100-1-2001ГОСТ ИСО/ТО 12100-1-2001ГОСТ ИСО/ТО 12100-1-2001ГОСТ ИСО/ТО 12100-1-2001

Поправка к ГОСТ ИСО/ТО 12100-1-2001

Обозначение:Поправка к ГОСТ ИСО/ТО 12100-1-2001
Дата введения:01.11.2002


Поправка к ГОСТ ИСО/ТО 12100-1-2001
 




ГОСТЫ, СТРОИТЕЛЬНЫЕ и ТЕХНИЧЕСКИЕ НОРМАТИВЫ.
Некоммерческая онлайн система, содержащая все Российские Госты, национальные Стандарты и нормативы.
В Системе содержится более 150000 файлов нормативно-технической документации, действующей на территории РФ.
Система предназначена для широкого круга инженерно-технических специалистов.

Рейтинг@Mail.ru Яндекс цитирования

Copyright © www.gostrf.com, 2008 - 2026