Крупнейшая бесплатная информационно-справочная система онлайн доступа к полному собранию технических нормативно-правовых актов РФ. Огромная база технических нормативов (более 150 тысяч документов) и полное собрание национальных стандартов, аутентичное официальной базе Госстандарта. GOSTRF.com - это более 1 Терабайта бесплатной технической информации для всех пользователей интернета. Все электронные копии представленных здесь документов могут распространяться без каких-либо ограничений. Поощряется распространение информации с этого сайта на любых других ресурсах. Каждый человек имеет право на неограниченный доступ к этим документам! Каждый человек имеет право на знание требований, изложенных в данных нормативно-правовых актах!

  


 

ГОСТ 8.516-2001

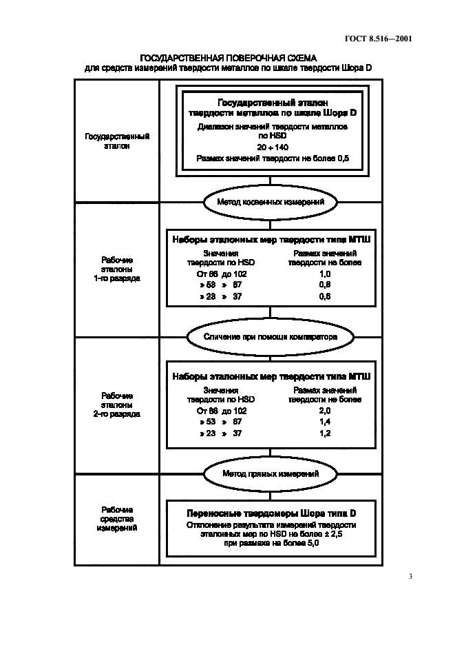
Государственная система обеспечения единства измерений. Государственная поверочная схема для средств измерений твердости металлов по шкале твердости Шора D

Обозначение:ГОСТ 8.516-2001
Текущий статус документа: действующий
Название документа рус.:Государственная система обеспечения единства измерений. Государственная поверочная схема для средств измерений твердости металлов по шкале твердости Шора D
Название документа англ.:State system for ensuring the uniformity of measurements. State verification schedule for means measuring hardness of metals according on Shore D hardness scale
Дата актуализации текста:01.12.2013
Дата издания:05.03.2002
Дата введения:30.06.2002
Дата последнего изменения:22.05.2013
Область применения:Настоящий стандарт распространяется на государственную поверочную схему для средств измерений твердости металлов по шкале твердости Шора D (HSD), и устанавливает порядок передачи чисел шкалы твердости Шора D (чисел HSD) в диапазоне от 20 до 140 от государственного эталона при помощи рабочих эталонов рабочим средствам измерений с указанием погрешности и основных методов поверки
ГОСТ 8.516-2001ГОСТ 8.516-2001ГОСТ 8.516-2001ГОСТ 8.516-2001ГОСТ 8.516-2001ГОСТ 8.516-2001ГОСТ 8.516-2001
 




ГОСТЫ, СТРОИТЕЛЬНЫЕ и ТЕХНИЧЕСКИЕ НОРМАТИВЫ.
Некоммерческая онлайн система, содержащая все Российские Госты, национальные Стандарты и нормативы.
В Системе содержится более 150000 файлов нормативно-технической документации, действующей на территории РФ.
Система предназначена для широкого круга инженерно-технических специалистов.

Рейтинг@Mail.ru Яндекс цитирования

Copyright © www.gostrf.com, 2008 - 2026