Крупнейшая бесплатная информационно-справочная система онлайн доступа к полному собранию технических нормативно-правовых актов РФ. Огромная база технических нормативов (более 150 тысяч документов) и полное собрание национальных стандартов, аутентичное официальной базе Госстандарта. GOSTRF.com - это более 1 Терабайта бесплатной технической информации для всех пользователей интернета. Все электронные копии представленных здесь документов могут распространяться без каких-либо ограничений. Поощряется распространение информации с этого сайта на любых других ресурсах. Каждый человек имеет право на неограниченный доступ к этим документам! Каждый человек имеет право на знание требований, изложенных в данных нормативно-правовых актах!

  


 

ГОСТ Р ИСО/МЭК 37-2002

Потребительские товары. Инструкции по применению. Общие требования

Обозначение:ГОСТ Р ИСО/МЭК 37-2002
Текущий статус документа: действующий
Название документа рус.:Потребительские товары. Инструкции по применению. Общие требования
Название документа англ.:Products of consumer interest. Instructions for use. General requirements
Дата актуализации текста:01.12.2013
Дата издания:23.07.2002
Дата введения:01.07.2003
Дата последнего изменения:22.05.2013
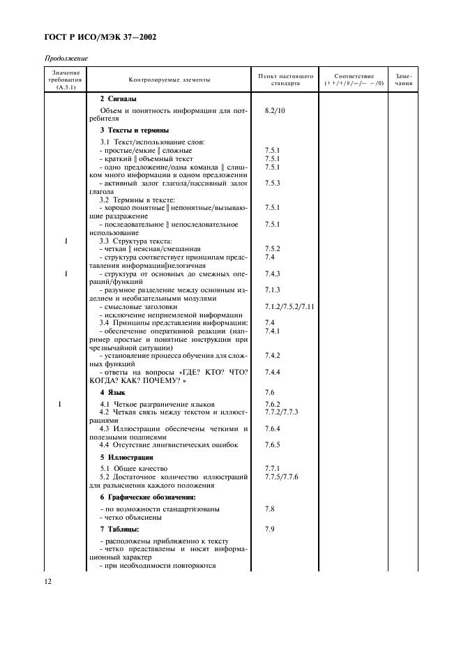
Область применения:Настоящий стандарт устанавливает принципы и предлагает рекомендации по подготовке и изложению инструкций по применению потребительских товаров. Он предназначен для:
- организаций, разрабатывающих стандарты на потребительские изделия;
- конструкторов изделий, изготовителей, технических и других специалистов, занимающихся подготовкой и составлением таких инструкций.
Принципы и подробные рекомендации, представленные в настоящем стандарте, должны применяться одновременно с конкретными требованиями к инструкциям, установленным в стандартах на конкретные изделия или группы изделий
ГОСТ Р ИСО/МЭК 37-2002ГОСТ Р ИСО/МЭК 37-2002ГОСТ Р ИСО/МЭК 37-2002ГОСТ Р ИСО/МЭК 37-2002ГОСТ Р ИСО/МЭК 37-2002ГОСТ Р ИСО/МЭК 37-2002ГОСТ Р ИСО/МЭК 37-2002ГОСТ Р ИСО/МЭК 37-2002ГОСТ Р ИСО/МЭК 37-2002ГОСТ Р ИСО/МЭК 37-2002ГОСТ Р ИСО/МЭК 37-2002ГОСТ Р ИСО/МЭК 37-2002ГОСТ Р ИСО/МЭК 37-2002ГОСТ Р ИСО/МЭК 37-2002ГОСТ Р ИСО/МЭК 37-2002ГОСТ Р ИСО/МЭК 37-2002ГОСТ Р ИСО/МЭК 37-2002ГОСТ Р ИСО/МЭК 37-2002ГОСТ Р ИСО/МЭК 37-2002ГОСТ Р ИСО/МЭК 37-2002
 




ГОСТЫ, СТРОИТЕЛЬНЫЕ и ТЕХНИЧЕСКИЕ НОРМАТИВЫ.
Некоммерческая онлайн система, содержащая все Российские Госты, национальные Стандарты и нормативы.
В Системе содержится более 150000 файлов нормативно-технической документации, действующей на территории РФ.
Система предназначена для широкого круга инженерно-технических специалистов.

Рейтинг@Mail.ru Яндекс цитирования

Copyright © www.gostrf.com, 2008 - 2026