Крупнейшая бесплатная информационно-справочная система онлайн доступа к полному собранию технических нормативно-правовых актов РФ. Огромная база технических нормативов (более 150 тысяч документов) и полное собрание национальных стандартов, аутентичное официальной базе Госстандарта. GOSTRF.com - это более 1 Терабайта бесплатной технической информации для всех пользователей интернета. Все электронные копии представленных здесь документов могут распространяться без каких-либо ограничений. Поощряется распространение информации с этого сайта на любых других ресурсах. Каждый человек имеет право на неограниченный доступ к этим документам! Каждый человек имеет право на знание требований, изложенных в данных нормативно-правовых актах!

  


 

ГОСТ 8.578-2002

Государственная система обеспечения единства измерений. Государственная поверочная схема для средств измерений содержания компонентов в газовых средах

Обозначение:ГОСТ 8.578-2002
Текущий статус документа: заменён
Название документа рус.:Государственная система обеспечения единства измерений. Государственная поверочная схема для средств измерений содержания компонентов в газовых средах
Название документа англ.:State system for ensuring the uniformity of measurements. State verification schedule for instruments measuring the content of components in gaseous media
Дата актуализации текста:01.12.2013
Дата издания:26.06.2002
Дата введения:01.11.2002
Дата последнего изменения:22.05.2013
Дата окончания срока действия:01.03.2009
Взамен:МИ 2001-89
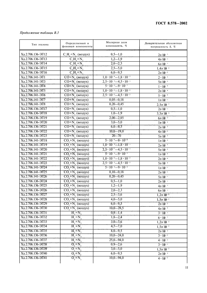
Область применения:Настоящий стандарт распространяется на государственную поверочную схему для средств измерений содержания компонентов в газовых средах и устанавливает порядок передачи размеров единиц: молярной доли - процент (%), массовой концентрации - миллиграмм на кубический метр (мг/м куб.), массовой доли - процент (%) и объемной доли компонента - процент (%) - от государственного первичного эталона с помощью рабочих эталонов рабочим средствам измерений с указанием погрешностей и основных методов поверки
ГОСТ 8.578-2002ГОСТ 8.578-2002ГОСТ 8.578-2002ГОСТ 8.578-2002ГОСТ 8.578-2002ГОСТ 8.578-2002ГОСТ 8.578-2002ГОСТ 8.578-2002ГОСТ 8.578-2002ГОСТ 8.578-2002ГОСТ 8.578-2002ГОСТ 8.578-2002ГОСТ 8.578-2002ГОСТ 8.578-2002ГОСТ 8.578-2002ГОСТ 8.578-2002ГОСТ 8.578-2002ГОСТ 8.578-2002ГОСТ 8.578-2002ГОСТ 8.578-2002ГОСТ 8.578-2002
 




ГОСТЫ, СТРОИТЕЛЬНЫЕ и ТЕХНИЧЕСКИЕ НОРМАТИВЫ.
Некоммерческая онлайн система, содержащая все Российские Госты, национальные Стандарты и нормативы.
В Системе содержится более 150000 файлов нормативно-технической документации, действующей на территории РФ.
Система предназначена для широкого круга инженерно-технических специалистов.

Рейтинг@Mail.ru Яндекс цитирования

Copyright © www.gostrf.com, 2008 - 2026