Крупнейшая бесплатная информационно-справочная система онлайн доступа к полному собранию технических нормативно-правовых актов РФ. Огромная база технических нормативов (более 150 тысяч документов) и полное собрание национальных стандартов, аутентичное официальной базе Госстандарта. GOSTRF.com - это более 1 Терабайта бесплатной технической информации для всех пользователей интернета. Все электронные копии представленных здесь документов могут распространяться без каких-либо ограничений. Поощряется распространение информации с этого сайта на любых других ресурсах. Каждый человек имеет право на неограниченный доступ к этим документам! Каждый человек имеет право на знание требований, изложенных в данных нормативно-правовых актах!

  


 

ГОСТ Р ИСО 10993-14-2001

Изделия медицинские. Оценка биологического действия медицинских изделий. Часть 14. Идентификация и количественное определение продуктов деструкции керамики

Обозначение:ГОСТ Р ИСО 10993-14-2001
Текущий статус документа: заменён
Название документа рус.:Изделия медицинские. Оценка биологического действия медицинских изделий. Часть 14. Идентификация и количественное определение продуктов деструкции керамики
Название документа англ.:Medical devices. Biological evaluation of medical devices. Part 14. Identification and quantification of degradation products from ceramics
Дата актуализации текста:01.12.2013
Дата издания:10.01.2002
Дата введения:01.01.2003
Дата последнего изменения:22.05.2013
Дата окончания срока действия:01.09.2010
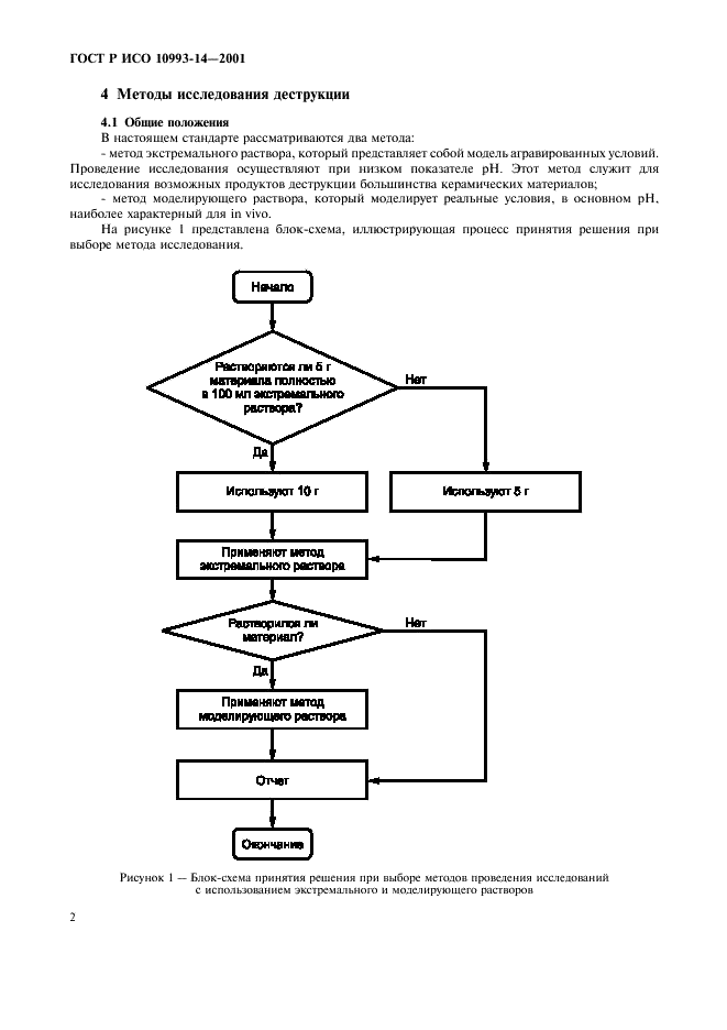
Область применения:Настоящий стандарт распространяется на исследование деструкции керамических материалов, которая возникает в результате изменения химических свойств готового к употреблению медицинского изделия, и устанавливает методы идентификации и количественного определения продуктов деструкции:
- метод экстремального раствора- метод ускоренного изучения деструкции;
- метод моделирующего раствора - метод изучения деструкции в реальном времени.
Стандарт не распространяется на методы исследования деструкции керамических материалов, которая вызвана механической нагрузкой, энергией внешних излучений различной природы или износом во время применения по назначению, а также на оценку биологического действия продуктов деструкции
ГОСТ Р ИСО 10993-14-2001ГОСТ Р ИСО 10993-14-2001ГОСТ Р ИСО 10993-14-2001ГОСТ Р ИСО 10993-14-2001ГОСТ Р ИСО 10993-14-2001ГОСТ Р ИСО 10993-14-2001ГОСТ Р ИСО 10993-14-2001ГОСТ Р ИСО 10993-14-2001ГОСТ Р ИСО 10993-14-2001ГОСТ Р ИСО 10993-14-2001ГОСТ Р ИСО 10993-14-2001ГОСТ Р ИСО 10993-14-2001
 




ГОСТЫ, СТРОИТЕЛЬНЫЕ и ТЕХНИЧЕСКИЕ НОРМАТИВЫ.
Некоммерческая онлайн система, содержащая все Российские Госты, национальные Стандарты и нормативы.
В Системе содержится более 150000 файлов нормативно-технической документации, действующей на территории РФ.
Система предназначена для широкого круга инженерно-технических специалистов.

Рейтинг@Mail.ru Яндекс цитирования

Copyright © www.gostrf.com, 2008 - 2026