Крупнейшая бесплатная информационно-справочная система онлайн доступа к полному собранию технических нормативно-правовых актов РФ. Огромная база технических нормативов (более 150 тысяч документов) и полное собрание национальных стандартов, аутентичное официальной базе Госстандарта. GOSTRF.com - это более 1 Терабайта бесплатной технической информации для всех пользователей интернета. Все электронные копии представленных здесь документов могут распространяться без каких-либо ограничений. Поощряется распространение информации с этого сайта на любых других ресурсах. Каждый человек имеет право на неограниченный доступ к этим документам! Каждый человек имеет право на знание требований, изложенных в данных нормативно-правовых актах!

  


 

ГОСТ Р МЭК 61094-2-2001

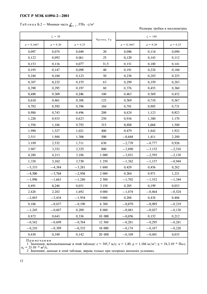
Государственная система обеспечения единства измерений. Микрофоны измерительные. Первичный метод градуировки по давлению лабораторных эталонных микрофонов методом взаимности

Обозначение:ГОСТ Р МЭК 61094-2-2001
Текущий статус документа: заменён
Название документа рус.:Государственная система обеспечения единства измерений. Микрофоны измерительные. Первичный метод градуировки по давлению лабораторных эталонных микрофонов методом взаимности
Название документа англ.:State system for ensuring the uniformity of measurements. Measurement microphones. Primary method for pressure calibration of laboratory standard microphones by the reciprocity technique
Дата актуализации текста:01.12.2013
Дата издания:17.10.2001
Дата введения:01.07.2002
Дата последнего изменения:15.07.2013
Дата окончания срока действия:01.05.2013
Область применения:Настоящий стандарт:
- распространяется на лабораторные эталонные микрофоны, удовлетворяющие требованиям МЭК 61094-1, и на другие конденсаторные микрофоны, имеющие такие же размеры;
- устанавливает первичный метод определения чувствительности микрофонов по давлению, позволяющий получить воспроизводимость и необходимую точность при измерении звукового давления
ГОСТ Р МЭК 61094-2-2001ГОСТ Р МЭК 61094-2-2001ГОСТ Р МЭК 61094-2-2001ГОСТ Р МЭК 61094-2-2001ГОСТ Р МЭК 61094-2-2001ГОСТ Р МЭК 61094-2-2001ГОСТ Р МЭК 61094-2-2001ГОСТ Р МЭК 61094-2-2001ГОСТ Р МЭК 61094-2-2001ГОСТ Р МЭК 61094-2-2001ГОСТ Р МЭК 61094-2-2001ГОСТ Р МЭК 61094-2-2001ГОСТ Р МЭК 61094-2-2001ГОСТ Р МЭК 61094-2-2001ГОСТ Р МЭК 61094-2-2001ГОСТ Р МЭК 61094-2-2001ГОСТ Р МЭК 61094-2-2001ГОСТ Р МЭК 61094-2-2001ГОСТ Р МЭК 61094-2-2001ГОСТ Р МЭК 61094-2-2001ГОСТ Р МЭК 61094-2-2001ГОСТ Р МЭК 61094-2-2001ГОСТ Р МЭК 61094-2-2001
 




ГОСТЫ, СТРОИТЕЛЬНЫЕ и ТЕХНИЧЕСКИЕ НОРМАТИВЫ.
Некоммерческая онлайн система, содержащая все Российские Госты, национальные Стандарты и нормативы.
В Системе содержится более 150000 файлов нормативно-технической документации, действующей на территории РФ.
Система предназначена для широкого круга инженерно-технических специалистов.

Рейтинг@Mail.ru Яндекс цитирования

Copyright © www.gostrf.com, 2008 - 2026