Крупнейшая бесплатная информационно-справочная система онлайн доступа к полному собранию технических нормативно-правовых актов РФ. Огромная база технических нормативов (более 150 тысяч документов) и полное собрание национальных стандартов, аутентичное официальной базе Госстандарта. GOSTRF.com - это более 1 Терабайта бесплатной технической информации для всех пользователей интернета. Все электронные копии представленных здесь документов могут распространяться без каких-либо ограничений. Поощряется распространение информации с этого сайта на любых других ресурсах. Каждый человек имеет право на неограниченный доступ к этим документам! Каждый человек имеет право на знание требований, изложенных в данных нормативно-правовых актах!

  


 

ГОСТ 34.320-96

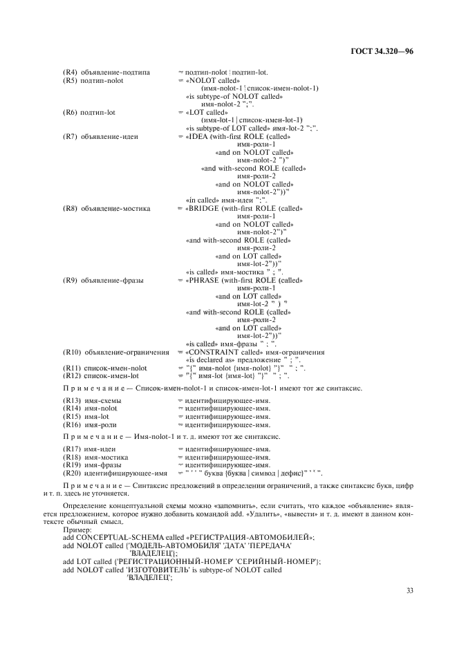
Информационные технологии. Система стандартов по базам данных. Концепции и терминология для концептуальной схемы и информационной базы

Обозначение:ГОСТ 34.320-96
Текущий статус документа: действующий
Название документа рус.:Информационные технологии. Система стандартов по базам данных. Концепции и терминология для концептуальной схемы и информационной базы
Название документа англ.:Information technology. Database standards system. Concepts and terminology for the conceptual schema and the information base
Дата актуализации текста:01.12.2013
Дата издания:21.09.2001
Дата введения:30.06.2001
Дата последнего изменения:22.05.2013
Область применения:Настоящий стандарт устанавливает основные понятия и термины концептуальных схем и информационных баз, охватывающие разработку, описание и применение концептуальных схем и информационных баз, манипулирования информацией, а также описание и реализацию информационного процесса.
Стандарт не описывает конкретные методы применения средств поддержки концептуальных схем
ГОСТ 34.320-96ГОСТ 34.320-96ГОСТ 34.320-96ГОСТ 34.320-96ГОСТ 34.320-96ГОСТ 34.320-96ГОСТ 34.320-96ГОСТ 34.320-96ГОСТ 34.320-96ГОСТ 34.320-96ГОСТ 34.320-96ГОСТ 34.320-96ГОСТ 34.320-96ГОСТ 34.320-96ГОСТ 34.320-96ГОСТ 34.320-96ГОСТ 34.320-96ГОСТ 34.320-96ГОСТ 34.320-96ГОСТ 34.320-96ГОСТ 34.320-96ГОСТ 34.320-96ГОСТ 34.320-96ГОСТ 34.320-96ГОСТ 34.320-96ГОСТ 34.320-96ГОСТ 34.320-96ГОСТ 34.320-96ГОСТ 34.320-96ГОСТ 34.320-96ГОСТ 34.320-96ГОСТ 34.320-96ГОСТ 34.320-96ГОСТ 34.320-96ГОСТ 34.320-96ГОСТ 34.320-96ГОСТ 34.320-96ГОСТ 34.320-96ГОСТ 34.320-96ГОСТ 34.320-96ГОСТ 34.320-96ГОСТ 34.320-96ГОСТ 34.320-96ГОСТ 34.320-96ГОСТ 34.320-96ГОСТ 34.320-96
 




ГОСТЫ, СТРОИТЕЛЬНЫЕ и ТЕХНИЧЕСКИЕ НОРМАТИВЫ.
Некоммерческая онлайн система, содержащая все Российские Госты, национальные Стандарты и нормативы.
В Системе содержится более 150000 файлов нормативно-технической документации, действующей на территории РФ.
Система предназначена для широкого круга инженерно-технических специалистов.

Рейтинг@Mail.ru Яндекс цитирования

Copyright © www.gostrf.com, 2008 - 2026