Крупнейшая бесплатная информационно-справочная система онлайн доступа к полному собранию технических нормативно-правовых актов РФ. Огромная база технических нормативов (более 150 тысяч документов) и полное собрание национальных стандартов, аутентичное официальной базе Госстандарта. GOSTRF.com - это более 1 Терабайта бесплатной технической информации для всех пользователей интернета. Все электронные копии представленных здесь документов могут распространяться без каких-либо ограничений. Поощряется распространение информации с этого сайта на любых других ресурсах. Каждый человек имеет право на неограниченный доступ к этим документам! Каждый человек имеет право на знание требований, изложенных в данных нормативно-правовых актах!

  


 

ГОСТ Р 34.10-2001

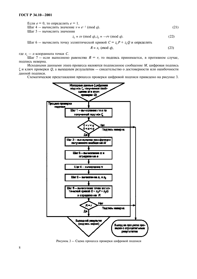
Информационная технология. Криптографическая защита информации. Процессы формирования и проверки электронной цифровой подписи

Обозначение:ГОСТ Р 34.10-2001
Текущий статус документа: заменён
Название документа рус.:Информационная технология. Криптографическая защита информации. Процессы формирования и проверки электронной цифровой подписи
Название документа англ.:Information technology. Cryptographic data security. Formation and verification processes of [electronic] digital signature
Дата актуализации текста:01.12.2013
Дата издания:29.10.2001
Дата введения:30.06.2002
Дата последнего изменения:22.05.2013
Дата окончания срока действия:01.01.2013
Область применения:Настоящий стандарт определяет схему электронной цифровой подписи, процессы формирования и проверки цифровой подписи под заданным сообщением (документом), передаваемым по незащищенным телекоммуникационным каналам общего пользования в системах обработки информации различного назначения
ГОСТ Р 34.10-2001ГОСТ Р 34.10-2001ГОСТ Р 34.10-2001ГОСТ Р 34.10-2001ГОСТ Р 34.10-2001ГОСТ Р 34.10-2001ГОСТ Р 34.10-2001ГОСТ Р 34.10-2001ГОСТ Р 34.10-2001ГОСТ Р 34.10-2001ГОСТ Р 34.10-2001ГОСТ Р 34.10-2001ГОСТ Р 34.10-2001ГОСТ Р 34.10-2001ГОСТ Р 34.10-2001ГОСТ Р 34.10-2001
 




ГОСТЫ, СТРОИТЕЛЬНЫЕ и ТЕХНИЧЕСКИЕ НОРМАТИВЫ.
Некоммерческая онлайн система, содержащая все Российские Госты, национальные Стандарты и нормативы.
В Системе содержится более 150000 файлов нормативно-технической документации, действующей на территории РФ.
Система предназначена для широкого круга инженерно-технических специалистов.

Рейтинг@Mail.ru Яндекс цитирования

Copyright © www.gostrf.com, 2008 - 2026