Крупнейшая бесплатная информационно-справочная система онлайн доступа к полному собранию технических нормативно-правовых актов РФ. Огромная база технических нормативов (более 150 тысяч документов) и полное собрание национальных стандартов, аутентичное официальной базе Госстандарта. GOSTRF.com - это более 1 Терабайта бесплатной технической информации для всех пользователей интернета. Все электронные копии представленных здесь документов могут распространяться без каких-либо ограничений. Поощряется распространение информации с этого сайта на любых других ресурсах. Каждый человек имеет право на неограниченный доступ к этим документам! Каждый человек имеет право на знание требований, изложенных в данных нормативно-правовых актах!

  


 

ГОСТ Р ИСО 14031-2001

Управление окружающей средой. Оценивание экологической эффективности. Общие требования

Обозначение:ГОСТ Р ИСО 14031-2001
Текущий статус документа: действующий
Название документа рус.:Управление окружающей средой. Оценивание экологической эффективности. Общие требования
Название документа англ.:Environmental management. Environmental performance evaluation. Guidelines
Дата актуализации текста:01.12.2013
Дата издания:01.04.2004
Дата введения:01.10.2001
Дата последнего изменения:22.05.2013
Переиздание:переиздание
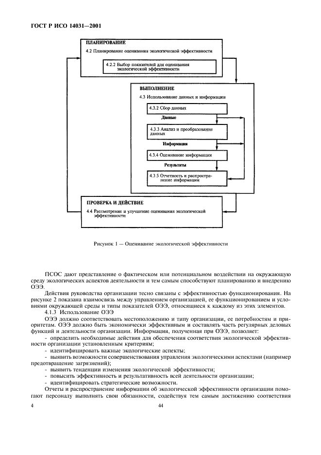
Область применения:Настоящий стандарт представляет собой руководство по планированию и использованию оценивания экологической эффективности организации. Стандарт применим для всех организаций независимо от типа, размера, местоположения и сложности.
Настоящий стандарт не может быть использован как стандарт технических условий для целей сертификации или регистрации, или для разработки каких-либо иных требований соответствия систем управления окружающей средой
ГОСТ Р ИСО 14031-2001ГОСТ Р ИСО 14031-2001ГОСТ Р ИСО 14031-2001ГОСТ Р ИСО 14031-2001ГОСТ Р ИСО 14031-2001ГОСТ Р ИСО 14031-2001ГОСТ Р ИСО 14031-2001ГОСТ Р ИСО 14031-2001ГОСТ Р ИСО 14031-2001ГОСТ Р ИСО 14031-2001ГОСТ Р ИСО 14031-2001ГОСТ Р ИСО 14031-2001ГОСТ Р ИСО 14031-2001ГОСТ Р ИСО 14031-2001ГОСТ Р ИСО 14031-2001ГОСТ Р ИСО 14031-2001ГОСТ Р ИСО 14031-2001ГОСТ Р ИСО 14031-2001ГОСТ Р ИСО 14031-2001ГОСТ Р ИСО 14031-2001ГОСТ Р ИСО 14031-2001ГОСТ Р ИСО 14031-2001ГОСТ Р ИСО 14031-2001ГОСТ Р ИСО 14031-2001ГОСТ Р ИСО 14031-2001ГОСТ Р ИСО 14031-2001
 




ГОСТЫ, СТРОИТЕЛЬНЫЕ и ТЕХНИЧЕСКИЕ НОРМАТИВЫ.
Некоммерческая онлайн система, содержащая все Российские Госты, национальные Стандарты и нормативы.
В Системе содержится более 150000 файлов нормативно-технической документации, действующей на территории РФ.
Система предназначена для широкого круга инженерно-технических специалистов.

Рейтинг@Mail.ru Яндекс цитирования

Copyright © www.gostrf.com, 2008 - 2026