Крупнейшая бесплатная информационно-справочная система онлайн доступа к полному собранию технических нормативно-правовых актов РФ. Огромная база технических нормативов (более 150 тысяч документов) и полное собрание национальных стандартов, аутентичное официальной базе Госстандарта. GOSTRF.com - это более 1 Терабайта бесплатной технической информации для всех пользователей интернета. Все электронные копии представленных здесь документов могут распространяться без каких-либо ограничений. Поощряется распространение информации с этого сайта на любых других ресурсах. Каждый человек имеет право на неограниченный доступ к этим документам! Каждый человек имеет право на знание требований, изложенных в данных нормативно-правовых актах!

  


 

ГОСТ Р 51834-2001

Прутки прессованные из алюминиевых сплавов высокой прочности и повышенной пластичности. Технические условия

Обозначение:ГОСТ Р 51834-2001
Текущий статус документа: действующий
Название документа рус.:Прутки прессованные из алюминиевых сплавов высокой прочности и повышенной пластичности. Технические условия
Название документа англ.:Extruded aluminium alloy bars of high strength and improved ductility. Specifications
Дата актуализации текста:01.12.2013
Дата издания:12.03.2002
Дата введения:30.06.2002
Дата последнего изменения:22.05.2013
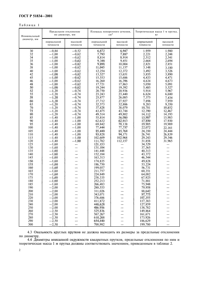
Область применения:Настоящий стандарт распространяется на прессованные прутки круглого, квадратного и шестигранного сечений из алюминиевых сплавов высокой прочности и повышенной пластичности, предназначенные для применения в специальных отраслях машиностроения
Список изменений:№1 от 01.01.2006 (рег. 20.04.2005) «Срок действия продлен»
Приложение №1:Изменение №1 к ГОСТ Р 51834-2001
ГОСТ Р 51834-2001ГОСТ Р 51834-2001ГОСТ Р 51834-2001ГОСТ Р 51834-2001ГОСТ Р 51834-2001ГОСТ Р 51834-2001ГОСТ Р 51834-2001ГОСТ Р 51834-2001ГОСТ Р 51834-2001ГОСТ Р 51834-2001ГОСТ Р 51834-2001ГОСТ Р 51834-2001ГОСТ Р 51834-2001

Изменение №1 к ГОСТ Р 51834-2001

Обозначение:Изменение №1 к ГОСТ Р 51834-2001
Дата введения:01.01.2006


Изменение №1 к ГОСТ Р 51834-2001Изменение №1 к ГОСТ Р 51834-2001
 




ГОСТЫ, СТРОИТЕЛЬНЫЕ и ТЕХНИЧЕСКИЕ НОРМАТИВЫ.
Некоммерческая онлайн система, содержащая все Российские Госты, национальные Стандарты и нормативы.
В Системе содержится более 150000 файлов нормативно-технической документации, действующей на территории РФ.
Система предназначена для широкого круга инженерно-технических специалистов.

Рейтинг@Mail.ru Яндекс цитирования

Copyright © www.gostrf.com, 2008 - 2026