Крупнейшая бесплатная информационно-справочная система онлайн доступа к полному собранию технических нормативно-правовых актов РФ. Огромная база технических нормативов (более 150 тысяч документов) и полное собрание национальных стандартов, аутентичное официальной базе Госстандарта. GOSTRF.com - это более 1 Терабайта бесплатной технической информации для всех пользователей интернета. Все электронные копии представленных здесь документов могут распространяться без каких-либо ограничений. Поощряется распространение информации с этого сайта на любых других ресурсах. Каждый человек имеет право на неограниченный доступ к этим документам! Каждый человек имеет право на знание требований, изложенных в данных нормативно-правовых актах!

  


 

ГОСТ Р 51855-2001

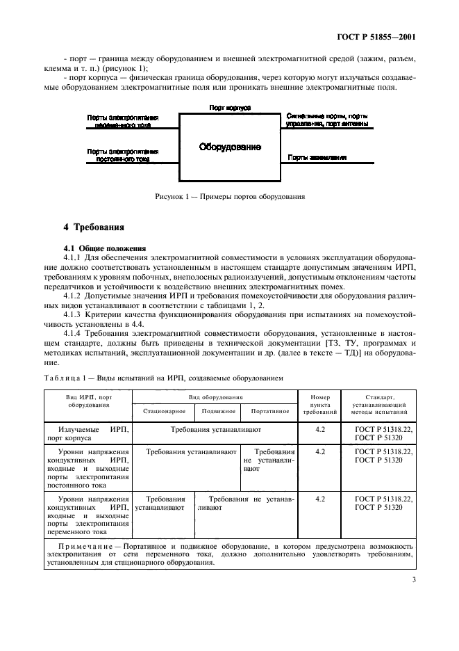
Совместимость технических средств электромагнитная. Средства радиосвязи личного пользования, работающие с угловой модуляцией в полосе частот от 26965 до 27860 кГц. Требования и методы испытаний

Обозначение:ГОСТ Р 51855-2001
Текущий статус документа: действующий
Название документа рус.:Совместимость технических средств электромагнитная. Средства радиосвязи личного пользования, работающие с угловой модуляцией в полосе частот от 26965 до 27860 кГц. Требования и методы испытаний
Название документа англ.:Electromagnetic compatibility of technical equipment. Angle modulated personal use radio equipment operating in frequency band 26965 kHz - 27860 kHz. Requirements and test methods
Дата актуализации текста:01.12.2013
Дата издания:18.03.2002
Дата введения:30.06.2002
Дата последнего изменения:22.05.2013
Область применения:Настоящий стандарт распространяется на средства радиосвязи, работающие с угловой модуляцией в полосе частот от 26965 до 27860 кГц, предназначенные для личного пользования и обеспечивающие передачу и прием речевых и иных сигналов, а также на связанное со средствами радиосвязи вспомогательное оборудование.
Стандарт устанавливает требования электромагнитной совместимости к стационарным, подвижным (применяемым на автотранспортных средствах) и портативным (переносным) средствам радиосвязи и вспомогательному оборудованию, включая допустимые значения индустриальных радиопомех, уровни побочных, внеполосных радиоизлучений и допустимые отклонения частоты передатчиков, требования помехоустойчивости (в том числе виды электромагнитных помех и степени жесткости испытаний для каждого вида), критерии качества функционирования оборудования при испытаниях на помехоустойчивость, а также соответствующие методы испытаний.
Настоящий стандарт не распространяется на средства радиосвязи малого радиуса действия
ГОСТ Р 51855-2001ГОСТ Р 51855-2001ГОСТ Р 51855-2001ГОСТ Р 51855-2001ГОСТ Р 51855-2001ГОСТ Р 51855-2001ГОСТ Р 51855-2001ГОСТ Р 51855-2001ГОСТ Р 51855-2001ГОСТ Р 51855-2001ГОСТ Р 51855-2001ГОСТ Р 51855-2001ГОСТ Р 51855-2001ГОСТ Р 51855-2001ГОСТ Р 51855-2001ГОСТ Р 51855-2001ГОСТ Р 51855-2001ГОСТ Р 51855-2001ГОСТ Р 51855-2001
 




ГОСТЫ, СТРОИТЕЛЬНЫЕ и ТЕХНИЧЕСКИЕ НОРМАТИВЫ.
Некоммерческая онлайн система, содержащая все Российские Госты, национальные Стандарты и нормативы.
В Системе содержится более 150000 файлов нормативно-технической документации, действующей на территории РФ.
Система предназначена для широкого круга инженерно-технических специалистов.

Рейтинг@Mail.ru Яндекс цитирования

Copyright © www.gostrf.com, 2008 - 2026