Крупнейшая бесплатная информационно-справочная система онлайн доступа к полному собранию технических нормативно-правовых актов РФ. Огромная база технических нормативов (более 150 тысяч документов) и полное собрание национальных стандартов, аутентичное официальной базе Госстандарта. GOSTRF.com - это более 1 Терабайта бесплатной технической информации для всех пользователей интернета. Все электронные копии представленных здесь документов могут распространяться без каких-либо ограничений. Поощряется распространение информации с этого сайта на любых других ресурсах. Каждый человек имеет право на неограниченный доступ к этим документам! Каждый человек имеет право на знание требований, изложенных в данных нормативно-правовых актах!

  


 

ГОСТ 1577-93

Прокат толстолистовой и широкополосный из конструкционной качественной стали. Технические условия

Обозначение:ГОСТ 1577-93
Текущий статус документа: действующий
Название документа рус.:Прокат толстолистовой и широкополосный из конструкционной качественной стали. Технические условия
Название документа англ.:Rolled sheets and wide strips of structural quality steel. Specifications
Дата актуализации текста:01.12.2013
Дата издания:01.01.2002
Дата введения:01.01.1997
Дата последнего изменения:21.11.2013
Переиздание:переиздание с поправками
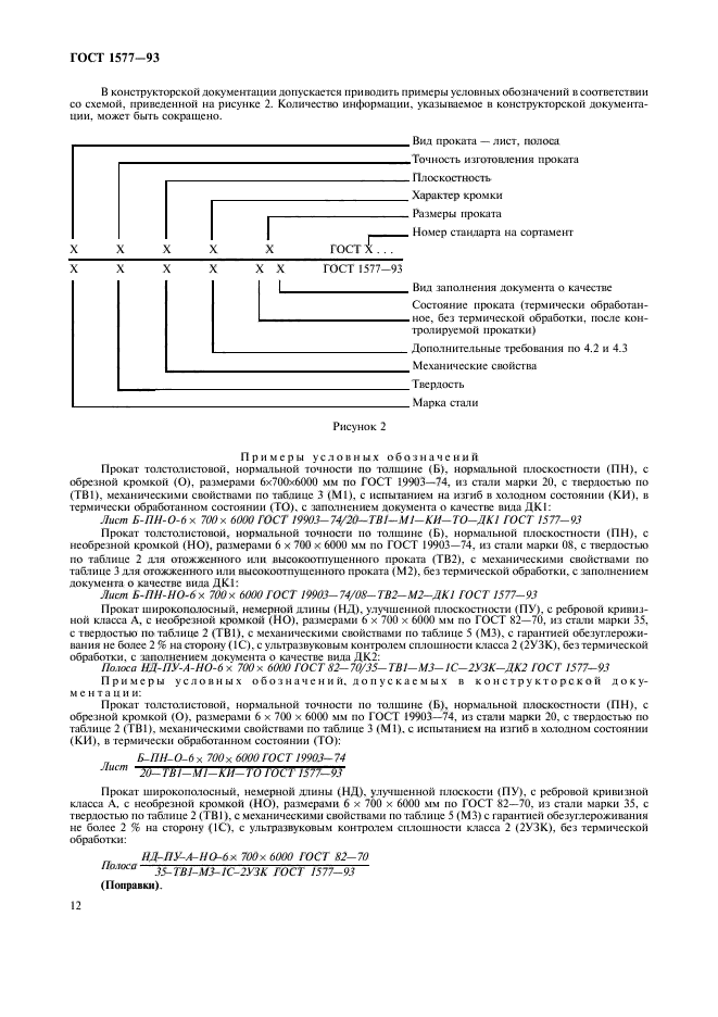
Область применения:Настоящий стандарт распространяется на прокат горячекатаный толстолистовой и широкополосный из качественной конструкционной нелегированной и легированной стали
Список изменений:№0 от 15.01.1999 (рег. 15.01.1999) «Дата введения перенесена»
№0 от 15.10.1999 (рег. 15.10.1999) «Дата введения перенесена»
№0 от 25.01.2007 (рег. 25.01.2007) «Дата введения перенесена»
Приложение №1:Поправка к ГОСТ 1577-93
Приложение №2:Поправка к ГОСТ 1577-93
Приложение №3:Поправка к ГОСТ 1577-93
ГОСТ 1577-93ГОСТ 1577-93ГОСТ 1577-93ГОСТ 1577-93ГОСТ 1577-93ГОСТ 1577-93ГОСТ 1577-93ГОСТ 1577-93ГОСТ 1577-93ГОСТ 1577-93ГОСТ 1577-93ГОСТ 1577-93ГОСТ 1577-93ГОСТ 1577-93ГОСТ 1577-93ГОСТ 1577-93ГОСТ 1577-93ГОСТ 1577-93

Поправка к ГОСТ 1577-93

Обозначение:Поправка к ГОСТ 1577-93
Дата введения:25.01.2007


Поправка к ГОСТ 1577-93

Поправка к ГОСТ 1577-93

Обозначение:Поправка к ГОСТ 1577-93
Дата введения:15.01.1999


Поправка к ГОСТ 1577-93Поправка к ГОСТ 1577-93Поправка к ГОСТ 1577-93

Поправка к ГОСТ 1577-93

Обозначение:Поправка к ГОСТ 1577-93
Дата введения:15.10.1999


Поправка к ГОСТ 1577-93
 




ГОСТЫ, СТРОИТЕЛЬНЫЕ и ТЕХНИЧЕСКИЕ НОРМАТИВЫ.
Некоммерческая онлайн система, содержащая все Российские Госты, национальные Стандарты и нормативы.
В Системе содержится более 150000 файлов нормативно-технической документации, действующей на территории РФ.
Система предназначена для широкого круга инженерно-технических специалистов.

Рейтинг@Mail.ru Яндекс цитирования

Copyright © www.gostrf.com, 2008 - 2026