Крупнейшая бесплатная информационно-справочная система онлайн доступа к полному собранию технических нормативно-правовых актов РФ. Огромная база технических нормативов (более 150 тысяч документов) и полное собрание национальных стандартов, аутентичное официальной базе Госстандарта. GOSTRF.com - это более 1 Терабайта бесплатной технической информации для всех пользователей интернета. Все электронные копии представленных здесь документов могут распространяться без каких-либо ограничений. Поощряется распространение информации с этого сайта на любых других ресурсах. Каждый человек имеет право на неограниченный доступ к этим документам! Каждый человек имеет право на знание требований, изложенных в данных нормативно-правовых актах!

  


 

ГОСТ 1535-91

Прутки медные. Технические условия

Обозначение:ГОСТ 1535-91
Текущий статус документа: заменён
Название документа рус.:Прутки медные. Технические условия
Название документа англ.:Copper rods. Specifications
Дата актуализации текста:01.12.2013
Дата издания:01.06.2002
Дата введения:01.07.1992
Дата последнего изменения:22.05.2013
Дата окончания срока действия:01.01.2008
Переиздание:переиздание с изм. 1
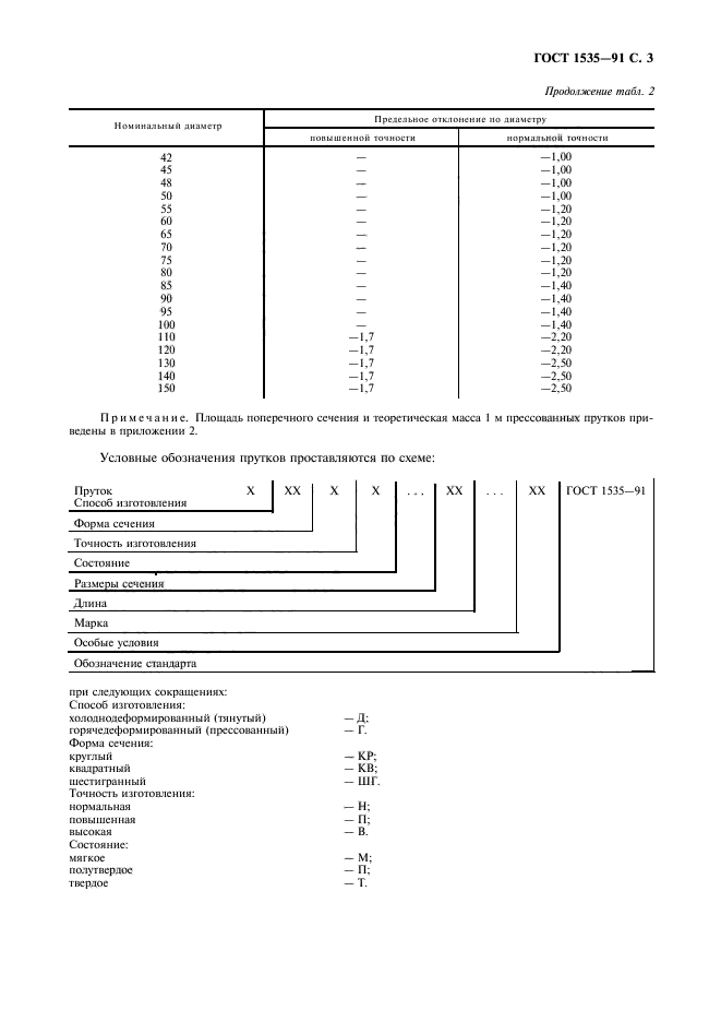
Область применения:Настоящий стандарт распространяется на тянутые медные прутки круглого, квадратного, шестигранного сечения и прессованные прутки круглого сечения
Список изменений:№1 от 01.01.2002 (рег. 26.07.2001) «Текстовое изменение; Изменены ссылочные НД»
Приложение №1:Изменение №1 к ГОСТ 1535-91
ГОСТ 1535-91ГОСТ 1535-91ГОСТ 1535-91ГОСТ 1535-91ГОСТ 1535-91ГОСТ 1535-91ГОСТ 1535-91ГОСТ 1535-91ГОСТ 1535-91ГОСТ 1535-91ГОСТ 1535-91ГОСТ 1535-91ГОСТ 1535-91ГОСТ 1535-91ГОСТ 1535-91

Изменение №1 к ГОСТ 1535-91

Обозначение:Изменение №1 к ГОСТ 1535-91
Дата введения:01.01.2002


Изменение №1 к ГОСТ 1535-91
 




ГОСТЫ, СТРОИТЕЛЬНЫЕ и ТЕХНИЧЕСКИЕ НОРМАТИВЫ.
Некоммерческая онлайн система, содержащая все Российские Госты, национальные Стандарты и нормативы.
В Системе содержится более 150000 файлов нормативно-технической документации, действующей на территории РФ.
Система предназначена для широкого круга инженерно-технических специалистов.

Рейтинг@Mail.ru Яндекс цитирования

Copyright © www.gostrf.com, 2008 - 2026