Крупнейшая бесплатная информационно-справочная система онлайн доступа к полному собранию технических нормативно-правовых актов РФ. Огромная база технических нормативов (более 150 тысяч документов) и полное собрание национальных стандартов, аутентичное официальной базе Госстандарта. GOSTRF.com - это более 1 Терабайта бесплатной технической информации для всех пользователей интернета. Все электронные копии представленных здесь документов могут распространяться без каких-либо ограничений. Поощряется распространение информации с этого сайта на любых других ресурсах. Каждый человек имеет право на неограниченный доступ к этим документам! Каждый человек имеет право на знание требований, изложенных в данных нормативно-правовых актах!

  


 

ГОСТ 4.151-85

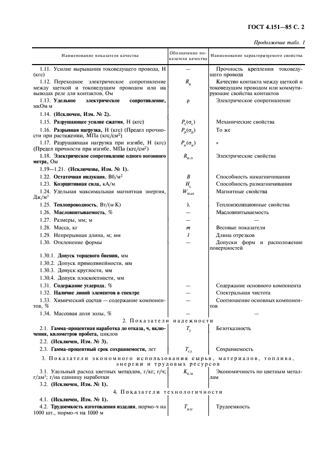
Система показателей качества продукции. Изделия электроугольные. Номенклатура показателей

Обозначение:ГОСТ 4.151-85
Текущий статус документа: действующий
Название документа рус.:Система показателей качества продукции. Изделия электроугольные. Номенклатура показателей
Название документа англ.:Index systems of production quality. Electrocarbon product. Index nomenclature
Дата актуализации текста:01.12.2013
Дата издания:01.12.2001
Дата введения:01.01.1987
Дата последнего изменения:22.05.2013
Переиздание:переиздание с изм. 1
Область применения:Стандарт устанавливает номенклатуру основных показателей качества электроугольных изделий, включаемых в технические задания на научно-исследовательские работы по определению перспектив развития этой группы, стандарты с перспективными требованиями, а также номенклатуру показателей качества, включаемых в технические задания на опытно-конструкторские работы, технические условия и стандарты на вновь разрабатываемые и модернизируемые изделия и карты технического уровня и качества продукции на них
Список изменений:№1 от 01.07.1988 (рег. 14.01.1988) «Срок действия продлен»
№2 от 01.10.1989 (рег. 24.03.1989) «Срок действия продлен»
№3 от 01.01.1991 (рег. 23.03.1990) «Срок действия продлен»
ГОСТ 4.151-85ГОСТ 4.151-85ГОСТ 4.151-85ГОСТ 4.151-85ГОСТ 4.151-85ГОСТ 4.151-85ГОСТ 4.151-85ГОСТ 4.151-85
 




ГОСТЫ, СТРОИТЕЛЬНЫЕ и ТЕХНИЧЕСКИЕ НОРМАТИВЫ.
Некоммерческая онлайн система, содержащая все Российские Госты, национальные Стандарты и нормативы.
В Системе содержится более 150000 файлов нормативно-технической документации, действующей на территории РФ.
Система предназначена для широкого круга инженерно-технических специалистов.

Рейтинг@Mail.ru Яндекс цитирования

Copyright © www.gostrf.com, 2008 - 2026