Крупнейшая бесплатная информационно-справочная система онлайн доступа к полному собранию технических нормативно-правовых актов РФ. Огромная база технических нормативов (более 150 тысяч документов) и полное собрание национальных стандартов, аутентичное официальной базе Госстандарта. GOSTRF.com - это более 1 Терабайта бесплатной технической информации для всех пользователей интернета. Все электронные копии представленных здесь документов могут распространяться без каких-либо ограничений. Поощряется распространение информации с этого сайта на любых других ресурсах. Каждый человек имеет право на неограниченный доступ к этим документам! Каждый человек имеет право на знание требований, изложенных в данных нормативно-правовых актах!

  


 

ГОСТ 4.171-85

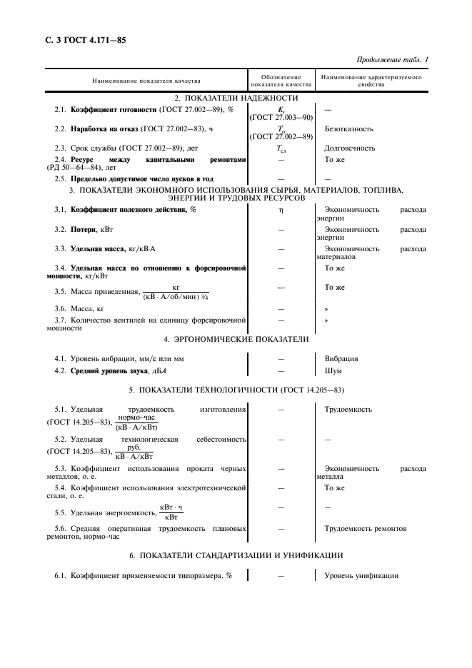
Система показателей качества продукции. Турбогенераторы, гидрогенераторы, синхронные компенсаторы и их системы возбуждения. Номенклатура показателей

Обозначение:ГОСТ 4.171-85
Текущий статус документа: действующий
Название документа рус.:Система показателей качества продукции. Турбогенераторы, гидрогенераторы, синхронные компенсаторы и их системы возбуждения. Номенклатура показателей
Название документа англ.:Product-quality index system. Turbo-generators, whater-wheel generators, synchronous condensers and their excitation systems. Nomenclature of indices
Дата актуализации текста:01.12.2013
Дата издания:01.12.2001
Дата введения:30.06.1986
Дата последнего изменения:21.11.2013
Переиздание:переиздание с изм. 1
Область применения:Стандарт устанавливает номенклатуру показателей качества турбогенераторов, гидрогенераторов, синхронных компенсаторов и их систем возбуждения, включаемых в ТЗ на ОКР, технические условия, карты технического уровня и качества продукции, разрабатываемые и пересматриваемые стандарты на продукцию, а также номенклатуру основных показателей качества, включаемых в стандарты с перспективными требованиями
Список изменений:№1 от 01.07.1988 (рег. 24.12.1987) «Срок действия продлен»
ГОСТ 4.171-85ГОСТ 4.171-85ГОСТ 4.171-85ГОСТ 4.171-85ГОСТ 4.171-85ГОСТ 4.171-85ГОСТ 4.171-85ГОСТ 4.171-85
 




ГОСТЫ, СТРОИТЕЛЬНЫЕ и ТЕХНИЧЕСКИЕ НОРМАТИВЫ.
Некоммерческая онлайн система, содержащая все Российские Госты, национальные Стандарты и нормативы.
В Системе содержится более 150000 файлов нормативно-технической документации, действующей на территории РФ.
Система предназначена для широкого круга инженерно-технических специалистов.

Рейтинг@Mail.ru Яндекс цитирования

Copyright © www.gostrf.com, 2008 - 2026