Крупнейшая бесплатная информационно-справочная система онлайн доступа к полному собранию технических нормативно-правовых актов РФ. Огромная база технических нормативов (более 150 тысяч документов) и полное собрание национальных стандартов, аутентичное официальной базе Госстандарта. GOSTRF.com - это более 1 Терабайта бесплатной технической информации для всех пользователей интернета. Все электронные копии представленных здесь документов могут распространяться без каких-либо ограничений. Поощряется распространение информации с этого сайта на любых других ресурсах. Каждый человек имеет право на неограниченный доступ к этим документам! Каждый человек имеет право на знание требований, изложенных в данных нормативно-правовых актах!

  


 

ГОСТ 26631-85

Аппаратура факсимильная со средствами сокращения избыточности для передачи и приема фотофаксимильной информации. Основные параметры

Обозначение:ГОСТ 26631-85
Текущий статус документа: действующий
Название документа рус.:Аппаратура факсимильная со средствами сокращения избыточности для передачи и приема фотофаксимильной информации. Основные параметры
Название документа англ.:Facsimile apparatus with redundancy reduction means for photofacsimile information transmission and reception. Basic parameters
Дата актуализации текста:01.12.2013
Дата издания:01.12.2001
Дата введения:01.01.1987
Дата последнего изменения:22.05.2013
Переиздание:переиздание с изм. 1
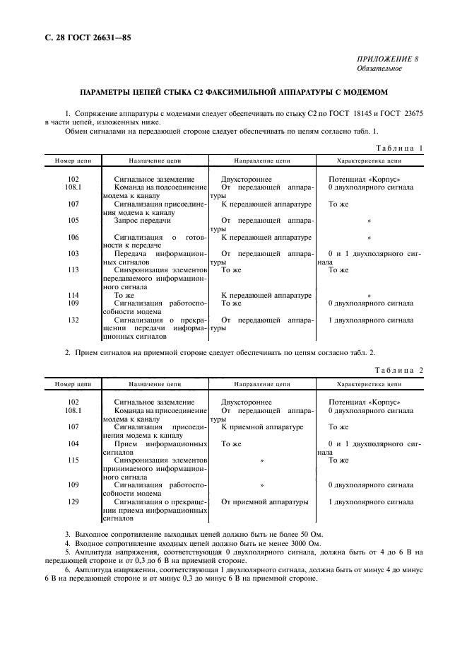
Область применения:Настоящий стандарт распространяется на факсимильную аппаратуру со средствами сокращения избыточности для передачи и приема фотофаксимильной информации типа 2, группы 3, подгруппы 1 по ГОСТ 12922, предназначенную для цифровой факсимильной связи по телефонной сети общего пользования и ведомственным телефонным сетям с отдельными или встроенными модемами по Рекомендациям МККТТ V.26, V.27, V.27-бис, V.33 при работе по арендованным каналам и V.23, V.26-бис, V.27-тер V.32 при работе по коммутируемым телефонным каналам, а также по волокoнно-оптическим соединительным линиям связи (ВОСЛС) и первичным цифровым трактам связи, и устанавливает ее основные параметры
Список изменений:№1 от 01.06.1988 (рег. 15.12.1987) «Срок действия продлен»
№2 от 01.01.1992 (рег. 15.08.1991) «Срок действия продлен»
ГОСТ 26631-85ГОСТ 26631-85ГОСТ 26631-85ГОСТ 26631-85ГОСТ 26631-85ГОСТ 26631-85ГОСТ 26631-85ГОСТ 26631-85ГОСТ 26631-85ГОСТ 26631-85ГОСТ 26631-85ГОСТ 26631-85ГОСТ 26631-85ГОСТ 26631-85ГОСТ 26631-85ГОСТ 26631-85ГОСТ 26631-85ГОСТ 26631-85ГОСТ 26631-85ГОСТ 26631-85ГОСТ 26631-85ГОСТ 26631-85ГОСТ 26631-85ГОСТ 26631-85ГОСТ 26631-85ГОСТ 26631-85ГОСТ 26631-85ГОСТ 26631-85ГОСТ 26631-85ГОСТ 26631-85ГОСТ 26631-85
 




ГОСТЫ, СТРОИТЕЛЬНЫЕ и ТЕХНИЧЕСКИЕ НОРМАТИВЫ.
Некоммерческая онлайн система, содержащая все Российские Госты, национальные Стандарты и нормативы.
В Системе содержится более 150000 файлов нормативно-технической документации, действующей на территории РФ.
Система предназначена для широкого круга инженерно-технических специалистов.

Рейтинг@Mail.ru Яндекс цитирования

Copyright © www.gostrf.com, 2008 - 2026