Крупнейшая бесплатная информационно-справочная система онлайн доступа к полному собранию технических нормативно-правовых актов РФ. Огромная база технических нормативов (более 150 тысяч документов) и полное собрание национальных стандартов, аутентичное официальной базе Госстандарта. GOSTRF.com - это более 1 Терабайта бесплатной технической информации для всех пользователей интернета. Все электронные копии представленных здесь документов могут распространяться без каких-либо ограничений. Поощряется распространение информации с этого сайта на любых других ресурсах. Каждый человек имеет право на неограниченный доступ к этим документам! Каждый человек имеет право на знание требований, изложенных в данных нормативно-правовых актах!

  


 

ГОСТ 25515-82

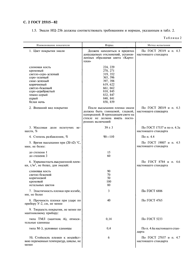
Эмали НЦ-256. Технические условия

Обозначение:ГОСТ 25515-82
Текущий статус документа: действующий
Название документа рус.:Эмали НЦ-256. Технические условия
Название документа англ.:Enamels НЦ-256. Specifications
Дата актуализации текста:01.12.2013
Дата издания:01.04.2003
Дата введения:01.01.1984
Дата последнего изменения:22.05.2013
Переиздание:переиздание с изм. 1
Область применения:Настоящий стандарт распространяется на эмали НЦ-256, представляющие собой суспензию коллоксилина, смолы и СВП (пигмент развальцованный с коллоксилином, пластификатором и диспергатором) в смеси летучих органических растворителей с добавлением пластификаторов.
Эмали НЦ-256 предназначаются для окраски металлорежущих станков.
Эмали наносят на поверхность методом пневматического распыления. Допускается наносить эмали методом безвоздушного распыления
Список изменений:№0 от 01.05.2003 (рег. 01.05.2003) «Дата введения перенесена»
№1 от 01.01.1989 (рег. 24.06.1988) «Срок действия продлен»
№2 от 01.01.2003 (рег. 15.05.2002) «Текстовое изменение; Изменены ссылочные НД»
Приложение №1:Изменение №2 к ГОСТ 25515-82
Приложение №2:Поправка к ГОСТ 25515-82
ГОСТ 25515-82ГОСТ 25515-82ГОСТ 25515-82ГОСТ 25515-82ГОСТ 25515-82ГОСТ 25515-82ГОСТ 25515-82ГОСТ 25515-82ГОСТ 25515-82ГОСТ 25515-82ГОСТ 25515-82ГОСТ 25515-82

Изменение №2 к ГОСТ 25515-82

Обозначение:Изменение №2 к ГОСТ 25515-82
Дата введения:01.01.2003


Изменение №2 к ГОСТ 25515-82Изменение №2 к ГОСТ 25515-82Изменение №2 к ГОСТ 25515-82Изменение №2 к ГОСТ 25515-82Изменение №2 к ГОСТ 25515-82

Поправка к ГОСТ 25515-82

Обозначение:Поправка к ГОСТ 25515-82
Дата введения:01.05.2003


Поправка к ГОСТ 25515-82
 




ГОСТЫ, СТРОИТЕЛЬНЫЕ и ТЕХНИЧЕСКИЕ НОРМАТИВЫ.
Некоммерческая онлайн система, содержащая все Российские Госты, национальные Стандарты и нормативы.
В Системе содержится более 150000 файлов нормативно-технической документации, действующей на территории РФ.
Система предназначена для широкого круга инженерно-технических специалистов.

Рейтинг@Mail.ru Яндекс цитирования

Copyright © www.gostrf.com, 2008 - 2026