Крупнейшая бесплатная информационно-справочная система онлайн доступа к полному собранию технических нормативно-правовых актов РФ. Огромная база технических нормативов (более 150 тысяч документов) и полное собрание национальных стандартов, аутентичное официальной базе Госстандарта. GOSTRF.com - это более 1 Терабайта бесплатной технической информации для всех пользователей интернета. Все электронные копии представленных здесь документов могут распространяться без каких-либо ограничений. Поощряется распространение информации с этого сайта на любых других ресурсах. Каждый человек имеет право на неограниченный доступ к этим документам! Каждый человек имеет право на знание требований, изложенных в данных нормативно-правовых актах!

  


 

ГОСТ 18311-80

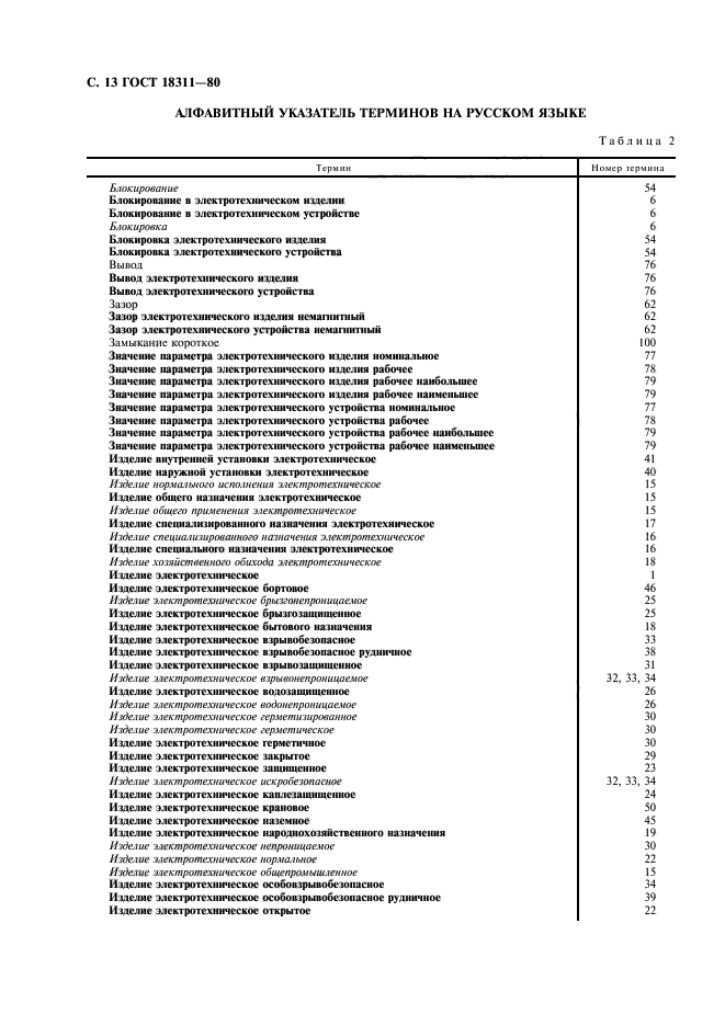
Изделия электротехнические. Термины и определения основных понятий

Обозначение:ГОСТ 18311-80
Текущий статус документа: действующий
Название документа рус.:Изделия электротехнические. Термины и определения основных понятий
Название документа англ.:Electrical products. Terms and definitions of basic concepts
Дата актуализации текста:01.12.2013
Дата издания:01.05.2004
Дата введения:01.01.1982
Дата последнего изменения:22.05.2013
Переиздание:переиздание с изм. 1
Область применения:Настоящий стандарт устанавливает термины и определения понятий электротехнических изделий
Список изменений:№1 от 01.10.1982 (рег. 31.05.1982) «Срок действия продлен»
№2 от 01.01.1990 (рег. 29.03.1989) «Срок действия продлен»
ГОСТ 18311-80ГОСТ 18311-80ГОСТ 18311-80ГОСТ 18311-80ГОСТ 18311-80ГОСТ 18311-80ГОСТ 18311-80ГОСТ 18311-80ГОСТ 18311-80ГОСТ 18311-80ГОСТ 18311-80ГОСТ 18311-80ГОСТ 18311-80ГОСТ 18311-80ГОСТ 18311-80ГОСТ 18311-80ГОСТ 18311-80ГОСТ 18311-80ГОСТ 18311-80ГОСТ 18311-80
 




ГОСТЫ, СТРОИТЕЛЬНЫЕ и ТЕХНИЧЕСКИЕ НОРМАТИВЫ.
Некоммерческая онлайн система, содержащая все Российские Госты, национальные Стандарты и нормативы.
В Системе содержится более 150000 файлов нормативно-технической документации, действующей на территории РФ.
Система предназначена для широкого круга инженерно-технических специалистов.

Рейтинг@Mail.ru Яндекс цитирования

Copyright © www.gostrf.com, 2008 - 2026