Крупнейшая бесплатная информационно-справочная система онлайн доступа к полному собранию технических нормативно-правовых актов РФ. Огромная база технических нормативов (более 150 тысяч документов) и полное собрание национальных стандартов, аутентичное официальной базе Госстандарта. GOSTRF.com - это более 1 Терабайта бесплатной технической информации для всех пользователей интернета. Все электронные копии представленных здесь документов могут распространяться без каких-либо ограничений. Поощряется распространение информации с этого сайта на любых других ресурсах. Каждый человек имеет право на неограниченный доступ к этим документам! Каждый человек имеет право на знание требований, изложенных в данных нормативно-правовых актах!

  


 

ГОСТ 1628-78

Прутки бронзовые. Технические условия

Обозначение:ГОСТ 1628-78
Текущий статус документа: действующий
Название документа рус.:Прутки бронзовые. Технические условия
Название документа англ.:Bronze rods. Specifications
Дата актуализации текста:01.12.2013
Дата издания:01.08.2003
Дата введения:01.01.1980
Дата последнего изменения:22.05.2013
Переиздание:переиздание с поправкой и изм. 1
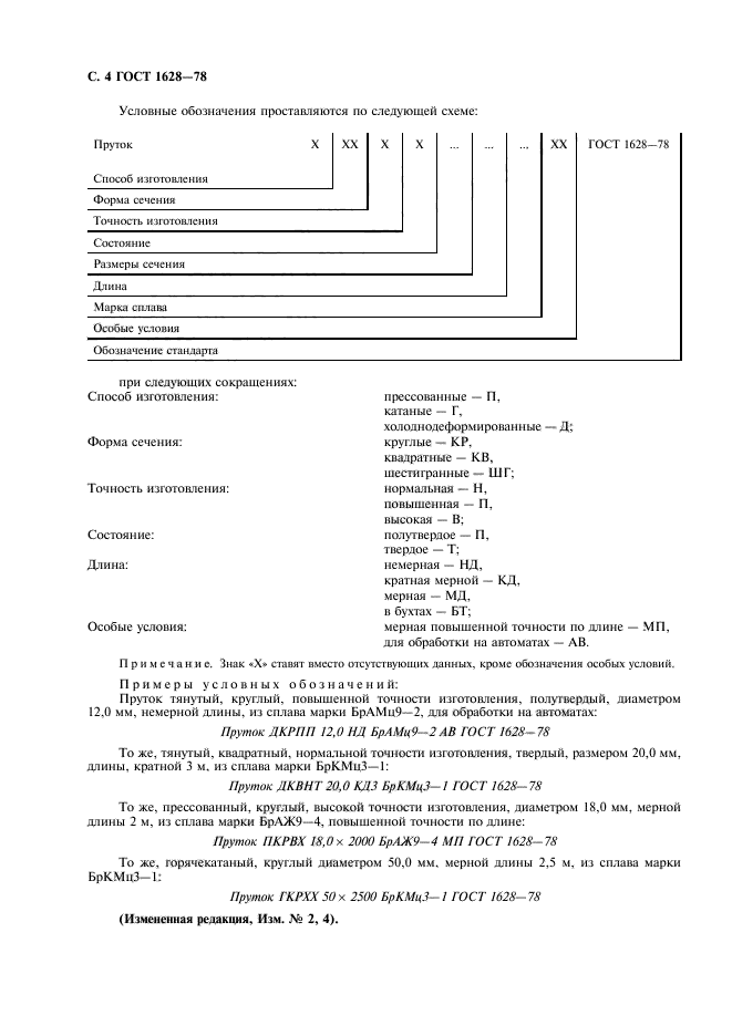
Область применения:Настоящий стандарт распространяется на тянутые (круглые, квадратные и шестигранные), прессованные (круглые) и горячекатаные (круглые) прутки из безоловянных бронз, применяемые в различных отраслях промышленности
Список изменений:№0 от 01.11.2000 (рег. 01.11.2000) «Дата введения перенесена»
№1 от 01.03.1983 (рег. 01.03.1983) «Срок действия продлен»
№2 от 01.01.1985 (рег. 09.04.1984) «Срок действия продлен»
№3 от 01.11.1987 (рег. 27.05.1987) «Срок действия продлен»
№4 от 01.01.1990 (рег. 29.03.1989) «Срок действия продлен»
ГОСТ 1628-78ГОСТ 1628-78ГОСТ 1628-78ГОСТ 1628-78ГОСТ 1628-78ГОСТ 1628-78ГОСТ 1628-78ГОСТ 1628-78ГОСТ 1628-78ГОСТ 1628-78ГОСТ 1628-78ГОСТ 1628-78ГОСТ 1628-78ГОСТ 1628-78ГОСТ 1628-78
 




ГОСТЫ, СТРОИТЕЛЬНЫЕ и ТЕХНИЧЕСКИЕ НОРМАТИВЫ.
Некоммерческая онлайн система, содержащая все Российские Госты, национальные Стандарты и нормативы.
В Системе содержится более 150000 файлов нормативно-технической документации, действующей на территории РФ.
Система предназначена для широкого круга инженерно-технических специалистов.

Рейтинг@Mail.ru Яндекс цитирования

Copyright © www.gostrf.com, 2008 - 2026