Крупнейшая бесплатная информационно-справочная система онлайн доступа к полному собранию технических нормативно-правовых актов РФ. Огромная база технических нормативов (более 150 тысяч документов) и полное собрание национальных стандартов, аутентичное официальной базе Госстандарта. GOSTRF.com - это более 1 Терабайта бесплатной технической информации для всех пользователей интернета. Все электронные копии представленных здесь документов могут распространяться без каких-либо ограничений. Поощряется распространение информации с этого сайта на любых других ресурсах. Каждый человек имеет право на неограниченный доступ к этим документам! Каждый человек имеет право на знание требований, изложенных в данных нормативно-правовых актах!

  


 

ГОСТ 10362-76

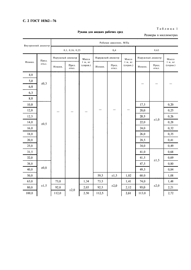
Рукава резиновые напорные с нитяным усилением, неармированные. Технические условия

Обозначение:ГОСТ 10362-76
Текущий статус документа: действующий
Название документа рус.:Рукава резиновые напорные с нитяным усилением, неармированные. Технические условия
Название документа англ.:Pressure hoses of vulcanized rubber with thread reinforcement and without end fitting. Specifications
Дата актуализации текста:01.12.2013
Дата издания:01.10.2003
Дата введения:01.01.1978
Дата последнего изменения:22.05.2013
Переиздание:переиздание с поправками и изм. 1
Область применения:Настоящий стандарт распространяется на напорные резиновые рукава неармированные с нитяным усилением, применяемые в качестве гибких трубопроводов для подачи под давлением воздуха, инертных газов и жидкостей, работоспособные в районах с умеренным и тропическим климатом при температуре от минус 50 до плюс 90 град. С, в районах с холодным климатом при температуре от минус 60 до плюс 90 град. С.
Настоящий стандарт не распространяется на рукава для газовой сварки и резки металлов, силовой гидравлической системы зерноуборочных комбайнов, пищевой промышленности и водолазной техники
Список изменений:№0 от 01.11.1993 (рег. 01.11.1993) «Дата введения перенесена»
№0 от 01.09.1998 (рег. 01.09.1998) «Дата введения перенесена»
№1 от 01.07.1981 (рег. 27.02.1981) «Срок действия продлен»
№2 от 01.03.1985 (рег. 28.03.1984) «Срок действия продлен»
№3 от 01.09.1987 (рег. 27.04.1987) «Срок действия продлен»
№4 от 01.07.1988 (рег. 29.09.1987) «Срок действия продлен»
№5 от 01.01.1989 (рег. 24.06.1988) «Срок действия продлен»
№6 от 01.07.1990 (рег. 22.12.1989) «Срок действия продлен»
№7 от 01.07.2001 (рег. 15.12.2000) «Срок действия продлен»
Приложение №1:Изменение №7 к ГОСТ 10362-76
ГОСТ 10362-76ГОСТ 10362-76ГОСТ 10362-76ГОСТ 10362-76ГОСТ 10362-76ГОСТ 10362-76ГОСТ 10362-76ГОСТ 10362-76ГОСТ 10362-76ГОСТ 10362-76ГОСТ 10362-76ГОСТ 10362-76ГОСТ 10362-76ГОСТ 10362-76ГОСТ 10362-76ГОСТ 10362-76ГОСТ 10362-76ГОСТ 10362-76ГОСТ 10362-76

Изменение №7 к ГОСТ 10362-76

Обозначение:Изменение №7 к ГОСТ 10362-76
Дата введения:01.07.2001


Изменение №7 к ГОСТ 10362-76Изменение №7 к ГОСТ 10362-76
 




ГОСТЫ, СТРОИТЕЛЬНЫЕ и ТЕХНИЧЕСКИЕ НОРМАТИВЫ.
Некоммерческая онлайн система, содержащая все Российские Госты, национальные Стандарты и нормативы.
В Системе содержится более 150000 файлов нормативно-технической документации, действующей на территории РФ.
Система предназначена для широкого круга инженерно-технических специалистов.

Рейтинг@Mail.ru Яндекс цитирования

Copyright © www.gostrf.com, 2008 - 2026