Крупнейшая бесплатная информационно-справочная система онлайн доступа к полному собранию технических нормативно-правовых актов РФ. Огромная база технических нормативов (более 150 тысяч документов) и полное собрание национальных стандартов, аутентичное официальной базе Госстандарта. GOSTRF.com - это более 1 Терабайта бесплатной технической информации для всех пользователей интернета. Все электронные копии представленных здесь документов могут распространяться без каких-либо ограничений. Поощряется распространение информации с этого сайта на любых других ресурсах. Каждый человек имеет право на неограниченный доступ к этим документам! Каждый человек имеет право на знание требований, изложенных в данных нормативно-правовых актах!

  


 

ГОСТ 6465-76

Эмали ПФ-115. Технические условия

Обозначение:ГОСТ 6465-76
Текущий статус документа: действующий
Название документа рус.:Эмали ПФ-115. Технические условия
Название документа англ.:Enamels ПФ-115. Specifications
Дата актуализации текста:01.12.2013
Дата издания:01.05.2004
Дата введения:30.06.1977
Дата последнего изменения:22.05.2013
Переиздание:переиздание с изм. 1
Взамен:
Область применения:Настоящий стандарт распространяется на эмали ПФ-115 различных цветов, представляющие собой суспензии двуокиси титана рутильной формы и других пигментов и наполнителей в пентафталевом лаке с добавлением сиккатива и растворителей
Список изменений:№1 от 01.06.1979 (рег. 23.01.1979) «Срок действия продлен»
№2 от 01.11.1980 (рег. 10.06.1980) «Срок действия продлен»
№3 от 01.01.1986 (рег. 25.06.1985) «Срок действия продлен»
№4 от 01.10.1988 (рег. 27.04.1988) «Срок действия продлен»
№5 от 01.01.2003 (рег. 15.05.2002) «Текстовое изменение; Изменены ссылочные НД»
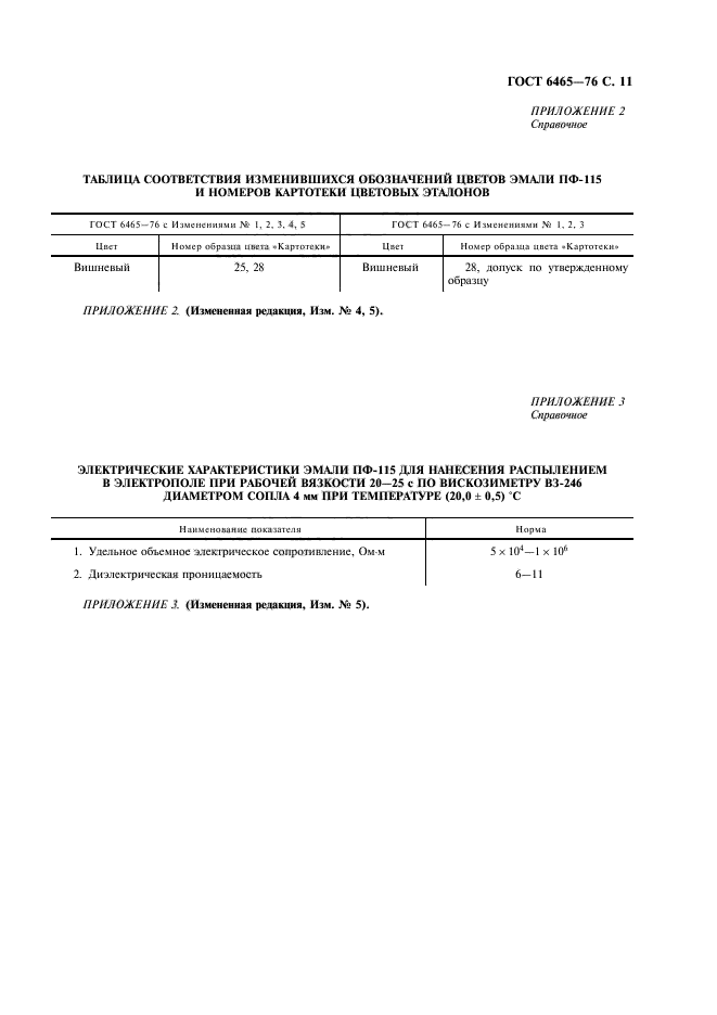
Приложение №1:Изменение №5 к ГОСТ 6465-76
ГОСТ 6465-76ГОСТ 6465-76ГОСТ 6465-76ГОСТ 6465-76ГОСТ 6465-76ГОСТ 6465-76ГОСТ 6465-76ГОСТ 6465-76ГОСТ 6465-76ГОСТ 6465-76ГОСТ 6465-76ГОСТ 6465-76ГОСТ 6465-76ГОСТ 6465-76

Изменение №5 к ГОСТ 6465-76

Обозначение:Изменение №5 к ГОСТ 6465-76
Дата введения:01.01.2003


Изменение №5 к ГОСТ 6465-76Изменение №5 к ГОСТ 6465-76Изменение №5 к ГОСТ 6465-76Изменение №5 к ГОСТ 6465-76Изменение №5 к ГОСТ 6465-76Изменение №5 к ГОСТ 6465-76Изменение №5 к ГОСТ 6465-76Изменение №5 к ГОСТ 6465-76
 




ГОСТЫ, СТРОИТЕЛЬНЫЕ и ТЕХНИЧЕСКИЕ НОРМАТИВЫ.
Некоммерческая онлайн система, содержащая все Российские Госты, национальные Стандарты и нормативы.
В Системе содержится более 150000 файлов нормативно-технической документации, действующей на территории РФ.
Система предназначена для широкого круга инженерно-технических специалистов.

Рейтинг@Mail.ru Яндекс цитирования

Copyright © www.gostrf.com, 2008 - 2026