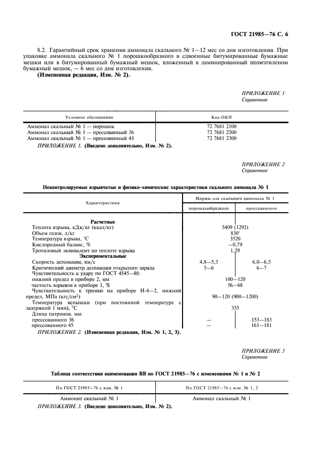
Крупнейшая бесплатная информационно-справочная система онлайн доступа к полному собранию технических нормативно-правовых актов РФ. Огромная база технических нормативов (более 150 тысяч документов) и полное собрание национальных стандартов, аутентичное официальной базе Госстандарта. GOSTRF.com - это более 1 Терабайта бесплатной технической информации для всех пользователей интернета. Все электронные копии представленных здесь документов могут распространяться без каких-либо ограничений. Поощряется распространение информации с этого сайта на любых других ресурсах. Каждый человек имеет право на неограниченный доступ к этим документам! Каждый человек имеет право на знание требований, изложенных в данных нормативно-правовых актах!

  


 

ГОСТ 21985-76

Вещества взрывчатые промышленные. Аммонал скальный № 1. Технические условия

Обозначение:ГОСТ 21985-76
Текущий статус документа: действующий
Название документа рус.:Вещества взрывчатые промышленные. Аммонал скальный № 1. Технические условия
Название документа англ.:Commercial explosives. Splitted off ammonal № 1 . Specifications
Дата актуализации текста:01.12.2013
Дата издания:01.05.2004
Дата введения:30.06.1977
Дата последнего изменения:22.05.2013
Переиздание:переиздание с изм. 1
Взамен в части: в части аммонита скального № 1
Область применения:Настоящий стандарт распространяется на непредохранительное водоустойчивое промышленное взрывчатое вещество II класса - скальный аммонал №1, а также на скальный аммонал № 1, поставляемый на экспорт, применяемые в соответствии с журнальным постановлением Госгортехнадзора СССР в горной промышленности, за исключением шахт и рудников, опасных по газу или пыли
Список изменений:№1 от 01.11.1982 (рег. 04.08.1982) «Срок действия продлен»
№2 от 01.07.1987 (рег. 28.04.1987) «Поправка»
№3 от 01.09.1991 (рег. 21.06.1991) «Срок действия продлен»
ГОСТ 21985-76ГОСТ 21985-76ГОСТ 21985-76ГОСТ 21985-76ГОСТ 21985-76ГОСТ 21985-76ГОСТ 21985-76ГОСТ 21985-76
 




ГОСТЫ, СТРОИТЕЛЬНЫЕ и ТЕХНИЧЕСКИЕ НОРМАТИВЫ.
Некоммерческая онлайн система, содержащая все Российские Госты, национальные Стандарты и нормативы.
В Системе содержится более 150000 файлов нормативно-технической документации, действующей на территории РФ.
Система предназначена для широкого круга инженерно-технических специалистов.

Рейтинг@Mail.ru Яндекс цитирования

Copyright © www.gostrf.com, 2008 - 2026