Крупнейшая бесплатная информационно-справочная система онлайн доступа к полному собранию технических нормативно-правовых актов РФ. Огромная база технических нормативов (более 150 тысяч документов) и полное собрание национальных стандартов, аутентичное официальной базе Госстандарта. GOSTRF.com - это более 1 Терабайта бесплатной технической информации для всех пользователей интернета. Все электронные копии представленных здесь документов могут распространяться без каких-либо ограничений. Поощряется распространение информации с этого сайта на любых других ресурсах. Каждый человек имеет право на неограниченный доступ к этим документам! Каждый человек имеет право на знание требований, изложенных в данных нормативно-правовых актах!

  


 

ГОСТ Р 41.101-99

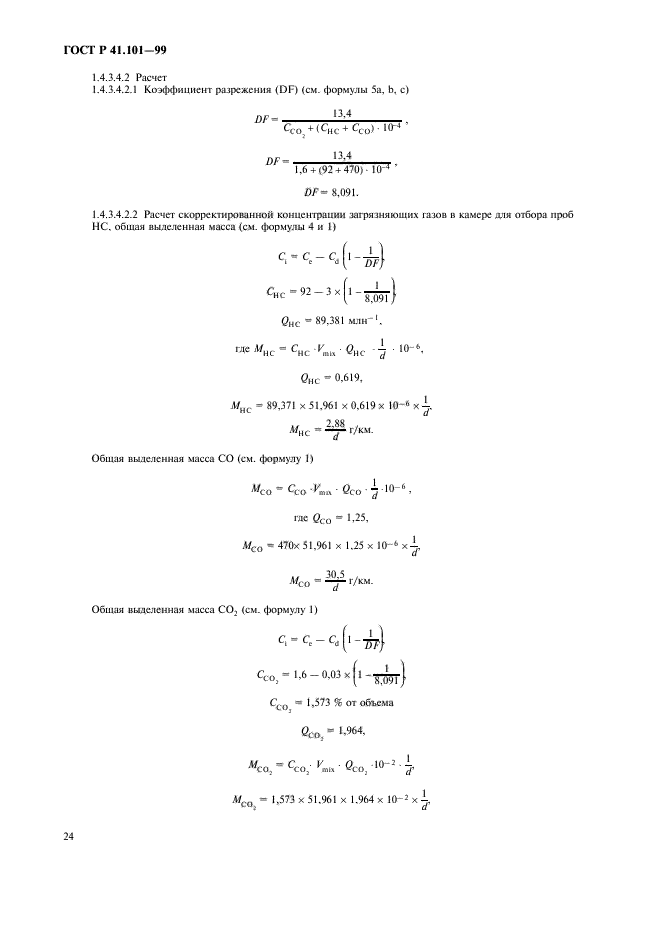
Единообразные предписания, касающиеся официального утверждения легковых автомобилей, оборудованных двигателем внутреннего сгорания, в отношении измерения объема выбросов двуокиси углерода и расхода топлива, а также транспортных средств категорий M1 и N1, оборудованных электроприводом в отношении измерения расхода электроэнергии и запаса хода

Обозначение:ГОСТ Р 41.101-99
Текущий статус документа: действующий
Название документа рус.:Единообразные предписания, касающиеся официального утверждения легковых автомобилей, оборудованных двигателем внутреннего сгорания, в отношении измерения объема выбросов двуокиси углерода и расхода топлива, а также транспортных средств категорий M1 и N1, оборудованных электроприводом в отношении измерения расхода электроэнергии и запаса хода
Название документа англ.:Uniform provisions concerning the approval of passenger cars equipped with an intrnal combustion engine with regard to the measurement of the emission of carbon dioxide and fuel consumption and of categories M1 and N1 vehicles equipped with an electric power train with regard to the measurement of electric energy consumption and range
Дата актуализации текста:01.12.2013
Дата издания:05.02.2001
Дата введения:30.06.2000
Дата последнего изменения:22.05.2013
Область применения:Настоящие Правила применяются к процедурам измерения выбросов диоксида углерода (СО2) и расхода топлива транспортными средствами категории M1 или измерения расхода электроэнергии транспортными средствами категории M1 и N1 и их запаса хода
ГОСТ Р 41.101-99ГОСТ Р 41.101-99ГОСТ Р 41.101-99ГОСТ Р 41.101-99ГОСТ Р 41.101-99ГОСТ Р 41.101-99ГОСТ Р 41.101-99ГОСТ Р 41.101-99ГОСТ Р 41.101-99ГОСТ Р 41.101-99ГОСТ Р 41.101-99ГОСТ Р 41.101-99ГОСТ Р 41.101-99ГОСТ Р 41.101-99ГОСТ Р 41.101-99ГОСТ Р 41.101-99ГОСТ Р 41.101-99ГОСТ Р 41.101-99ГОСТ Р 41.101-99ГОСТ Р 41.101-99ГОСТ Р 41.101-99ГОСТ Р 41.101-99ГОСТ Р 41.101-99ГОСТ Р 41.101-99ГОСТ Р 41.101-99ГОСТ Р 41.101-99ГОСТ Р 41.101-99ГОСТ Р 41.101-99ГОСТ Р 41.101-99ГОСТ Р 41.101-99ГОСТ Р 41.101-99ГОСТ Р 41.101-99ГОСТ Р 41.101-99ГОСТ Р 41.101-99ГОСТ Р 41.101-99ГОСТ Р 41.101-99ГОСТ Р 41.101-99ГОСТ Р 41.101-99ГОСТ Р 41.101-99ГОСТ Р 41.101-99ГОСТ Р 41.101-99
 




ГОСТЫ, СТРОИТЕЛЬНЫЕ и ТЕХНИЧЕСКИЕ НОРМАТИВЫ.
Некоммерческая онлайн система, содержащая все Российские Госты, национальные Стандарты и нормативы.
В Системе содержится более 150000 файлов нормативно-технической документации, действующей на территории РФ.
Система предназначена для широкого круга инженерно-технических специалистов.

Рейтинг@Mail.ru Яндекс цитирования

Copyright © www.gostrf.com, 2008 - 2026